🇳🇴 🇬🇧 🇩🇪 🇨🇿 🇫🇮

Meteor, poloha: Jaren 2025-11-12 20:51:07 UTC

Soubor KML  |  Interaktivní mapa

Mapa zobrazuje dráhy meteoru. Světlejší čáry ukazují směry od pozorovacích stanic při objevení se meteoru a tmavší čáry, kde byl naposledy viděn. Modrá šipka značí viditelnou dráhu meteoru.

static map
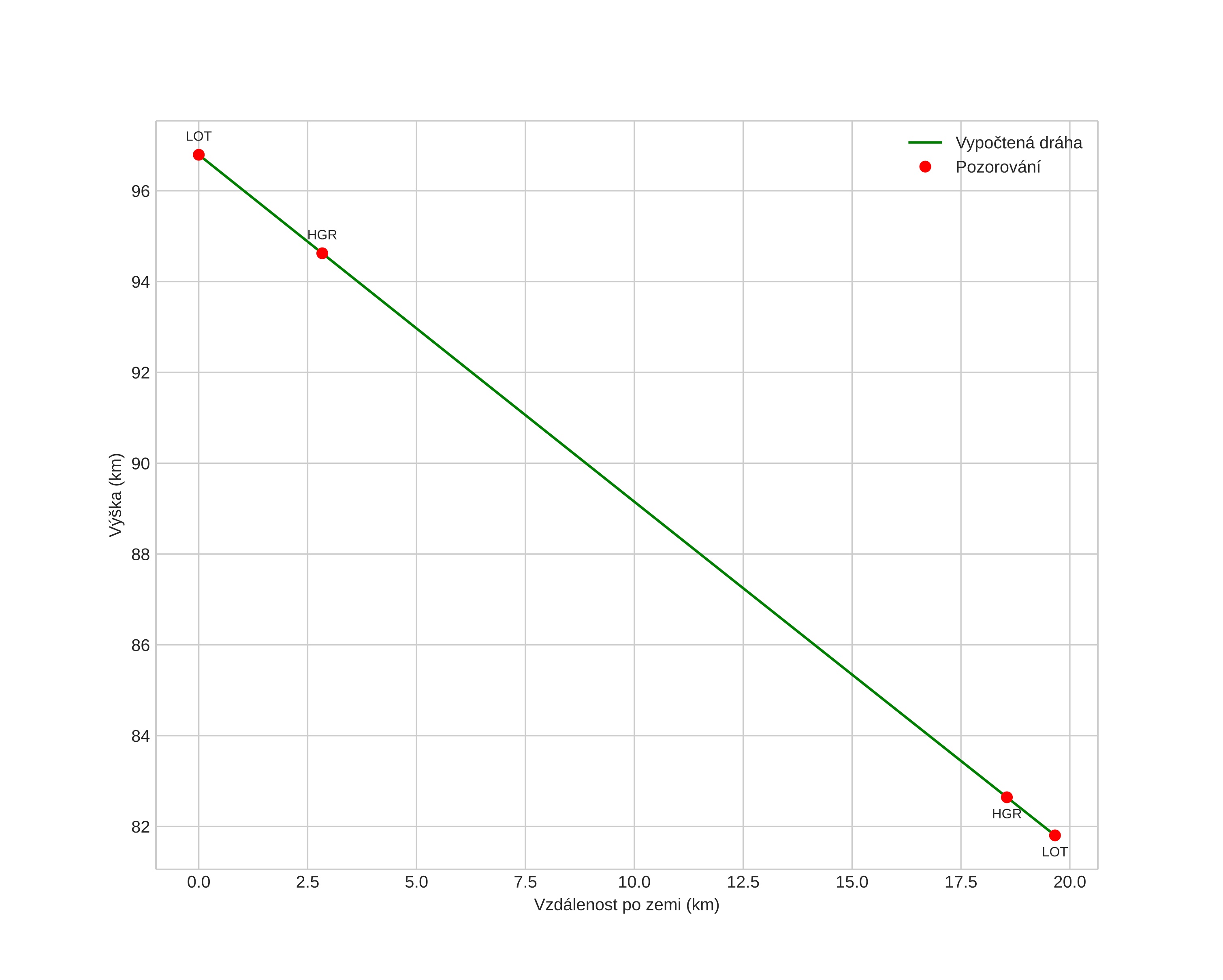
height profile
Atmosférická dráha meteoru:
Počáteční výška: 97,0 km
Konečná výška: 82,0 km
Počáteční poloha: 60,337N 11,023E
Konečná poloha: 60,446N 10,726E
Směr: 306,7°
Sklon: 36,5°
Vstupní rychlost: 30,9 km/s
Rektascenze radiantu: 03:52 (58,2°)
Deklinace radiantu: 14,3°
Meteorický roj: Jižní Tauridy
Elementy dráhy meteoroidu:
Vzdálenost v periheliu: 0,398 AU
Excentricita: 0,865
Sklon dráhy: 6,4°
Délka vzestupného uzlu: 50,4°
Argument perihelia: 106,8°
Střední anomálie: 351,9°
Epocha: 2025 NOV 12 20:51:07
orbit plot

Neinteraktivní graf | Interaktivní graf

position vs time
speed and acceleration