🇳🇴 🇬🇧 🇩🇪 🇨🇿 🇫🇮

Meteor over Teigebyen 2025-11-13 02:31:37 UTC

KML-fil  |  Interaktivt kart

Kartet viser peilingene for meteoren. De lysere linjene viser retningene fra observasjonsstedene for meteorens tilsynekomst, og de mørkere linjene viser hvor den sist kunne sees. Den blå pila viser meteorens synlige ferd.

static map
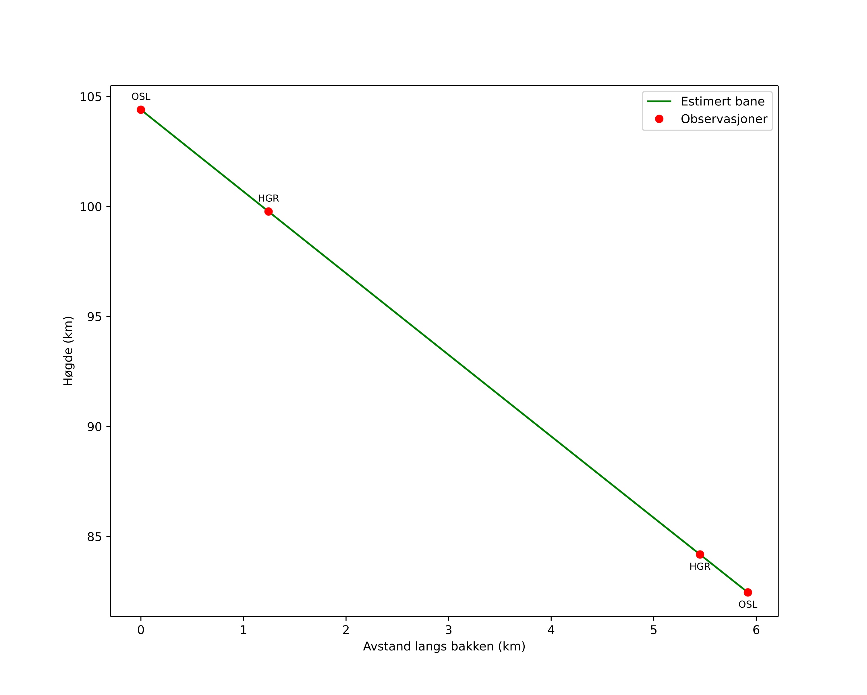
height profile
Meteorens atmosfæriske bane:
Starthøgde: 104,6 km
Slutthøgde: 82,4 km
Startposisjon: 60,243N 10,852E
Sluttposisjon: 60,211N 10,941E
Retning: 125,6°
Fallvinkel: 74,7°
Inngangshastighet: 42,9 km/s
Radiantens rektascensjon: 04:30 (67,7°)
Radiantens deklinasjon: 65,7°
Meteorsverm: sporadisk
Meteoroidens baneelement:
Perihelavstand: 0,588 AU
Eksentrisitet: 1,019
Inklinasjon: 60,0°
Knutelengde: 230,6°
Perihelargument: 258,7°
Midlere anomali: -0,2°
Epoke: 2025 NOV 13 02:31:37
orbit plot

Ikke-interaktivt plott | Interaktivt plott

position vs time
speed and acceleration

Hagar (HGR) cam6


gnomonic
Videoer
• Gnomonisk
• Gnomonisk med koordinater
• Original
• Original med koordinater
Bilder
• Gnomonisk
• Gnomonisk med koordinater
• Original
• Original med koordinater
Tekstfiler
• Deteksjon
• Observasjon
• Koordinater
• Logg
Lysstyrke

Voksenlia (OSL) cam6


gnomonic
Videoer
• Gnomonisk
• Gnomonisk med koordinater
• Original
• Original med koordinater
Bilder
• Gnomonisk
• Gnomonisk med koordinater
• Original
• Original med koordinater
Tekstfiler
• Deteksjon
• Observasjon
• Koordinater
• Logg
Lysstyrke