🇳🇴 🇬🇧 🇩🇪 🇨🇿 🇫🇮

Meteor over Moelv 2025-11-13 03:53:36 UTC

KML-fil  |  Interaktivt kart

Kartet viser peilingene for meteoren. De lysere linjene viser retningene fra observasjonsstedene for meteorens tilsynekomst, og de mørkere linjene viser hvor den sist kunne sees. Den blå pila viser meteorens synlige ferd.

static map
height profile
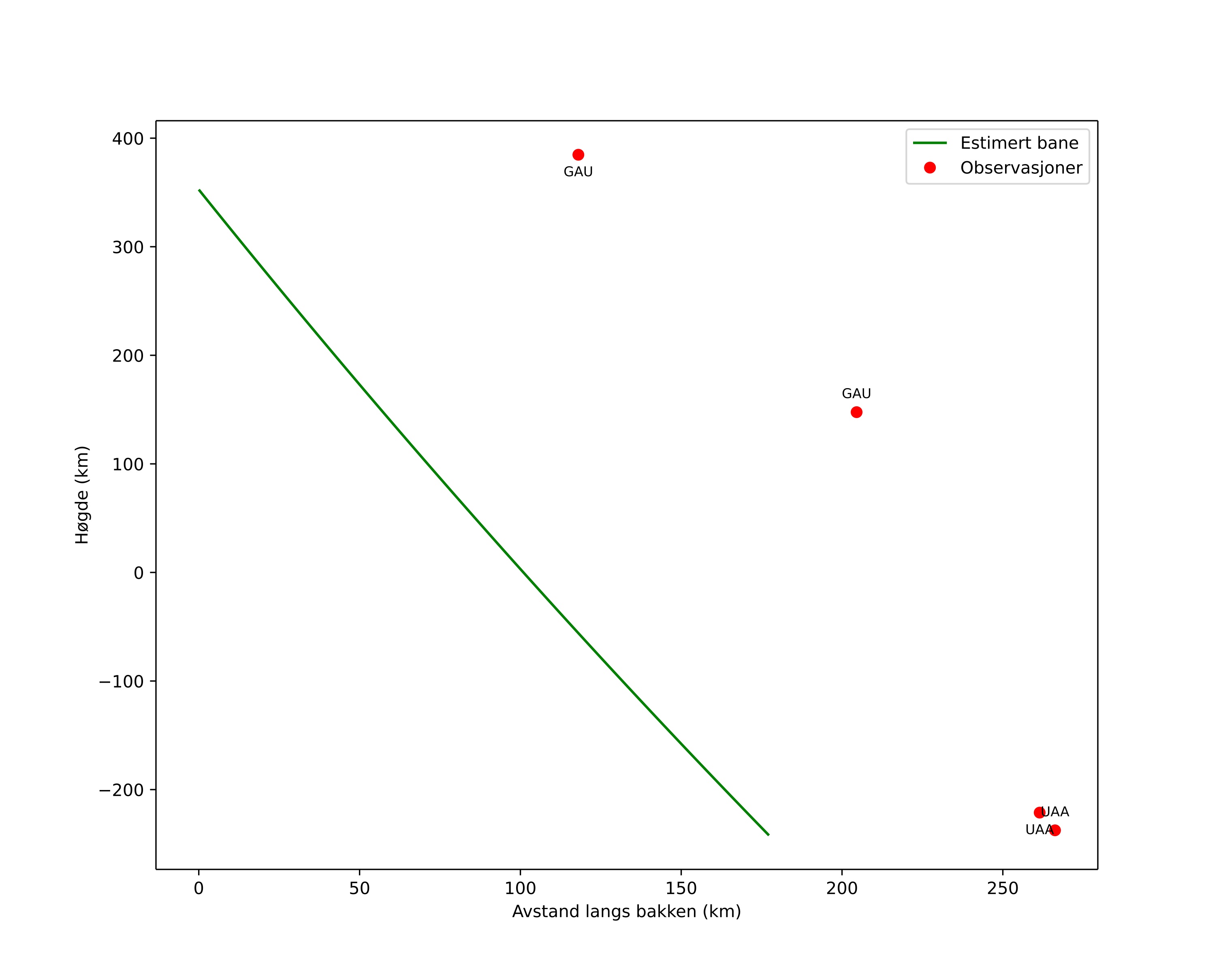
Meteorens atmosfæriske bane:
Starthøgde: 352,1 km
Slutthøgde: -242,4 km
Startposisjon: 59,787N 12,742E
Sluttposisjon: 60,994N 10,632E
Retning: 320,1°
Fallvinkel: 73,4°
position vs time
speed and acceleration

Gaustatoppen (GAU) cam6


gnomonic
Videoer
• Gnomonisk
• Gnomonisk med koordinater
• Original
• Original med koordinater
Bilder
• Gnomonisk
• Gnomonisk med koordinater
• Original
• Original med koordinater
Tekstfiler
• Deteksjon
• Observasjon
• Koordinater
• Logg
Lysstyrke