🇳🇴 🇬🇧 🇩🇪 🇨🇿 🇫🇮

Meteor over Segalstad bru 2025-11-13 17:35:24 UTC

KML-fil

Kartet viser peilingene for meteoren. De lysere linjene viser retningene fra observasjonsstedene for meteorens tilsynekomst, og de mørkere linjene viser hvor den sist kunne sees. Den blå pila viser meteorens synlige ferd.

static map
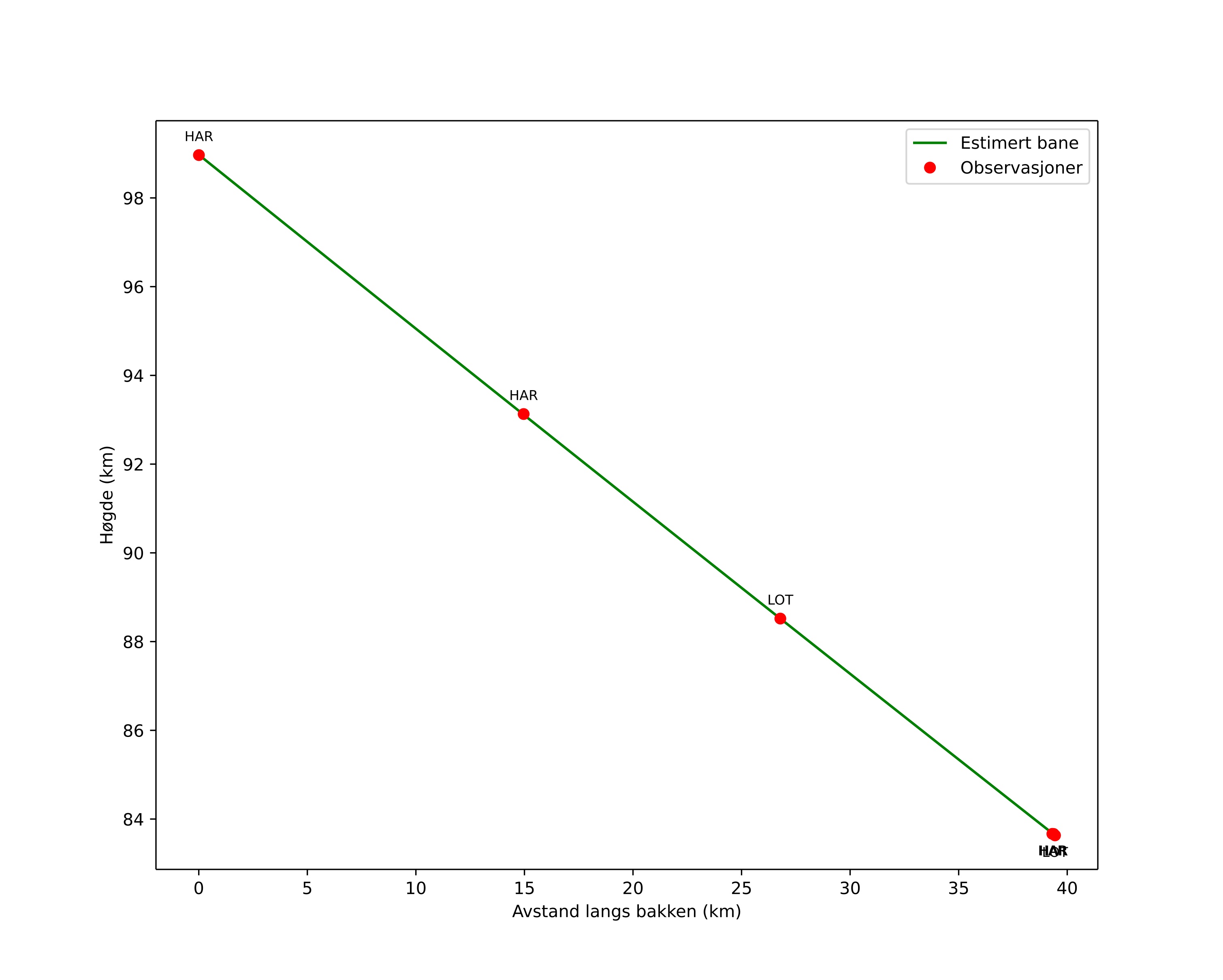
height profile
Meteorens atmosfæriske bane:
Starthøgde: 99,0 km
Slutthøgde: 83,6 km
Startposisjon: 61,231N 10,599E
Sluttposisjon: 61,149N 9,883E
Retning: 257,0°
Fallvinkel: 21,3°
Inngangshastighet: 30,8 km/s
Radiantens rektascensjon: 03:56 (59,1°)
Radiantens deklinasjon: 22,5°
Meteorsverm: Nordlige tauridene
Meteoroidens baneelement:
Perihelavstand: 0,372 AU
Eksentrisitet: 0,847
Inklinasjon: 2,4°
Knutelengde: 231,2°
Perihelargument: 291,2°
Midlere anomali: 349,1°
Epoke: 2025 NOV 13 17:35:24
orbit plot

Ikke-interaktivt plott

position vs time
speed and acceleration

Harestua (HAR) cam1


gnomonic
Videoer
• Gnomonisk
• Gnomonisk med koordinater
• Original
• Original (HEVC)
• Original med koordinater
Bilder
• Gnomonisk
• Gnomonisk med koordinater
• Original
• Original med koordinater
Tekstfiler
• Deteksjon
• Observasjon
• Koordinater
• Logg
Lysstyrke

Harestua (HAR) cam5


gnomonic
Videoer
• Gnomonisk
• Gnomonisk med koordinater
• Original
• Original (HEVC)
• Original med koordinater
Bilder
• Gnomonisk
• Gnomonisk med koordinater
• Original
• Original med koordinater
Tekstfiler
• Deteksjon
• Observasjon
• Koordinater
• Logg
Lysstyrke

Loten (LOT) cam5


gnomonic
Videoer
• Gnomonisk
• Gnomonisk med koordinater
• Original
• Original (HEVC)
• Original med koordinater
Bilder
• Gnomonisk
• Gnomonisk med koordinater
• Original
• Original med koordinater
Tekstfiler
• Deteksjon
• Observasjon
• Koordinater
• Logg
Lysstyrke