🇳🇴 🇬🇧 🇩🇪 🇨🇿 🇫🇮

Meteor, poloha: Åmli 2025-11-13 18:03:26 UTC

Soubor KML  |  Interaktivní mapa

Mapa zobrazuje dráhy meteoru. Světlejší čáry ukazují směry od pozorovacích stanic při objevení se meteoru a tmavší čáry, kde byl naposledy viděn. Modrá šipka značí viditelnou dráhu meteoru.

static map
height profile
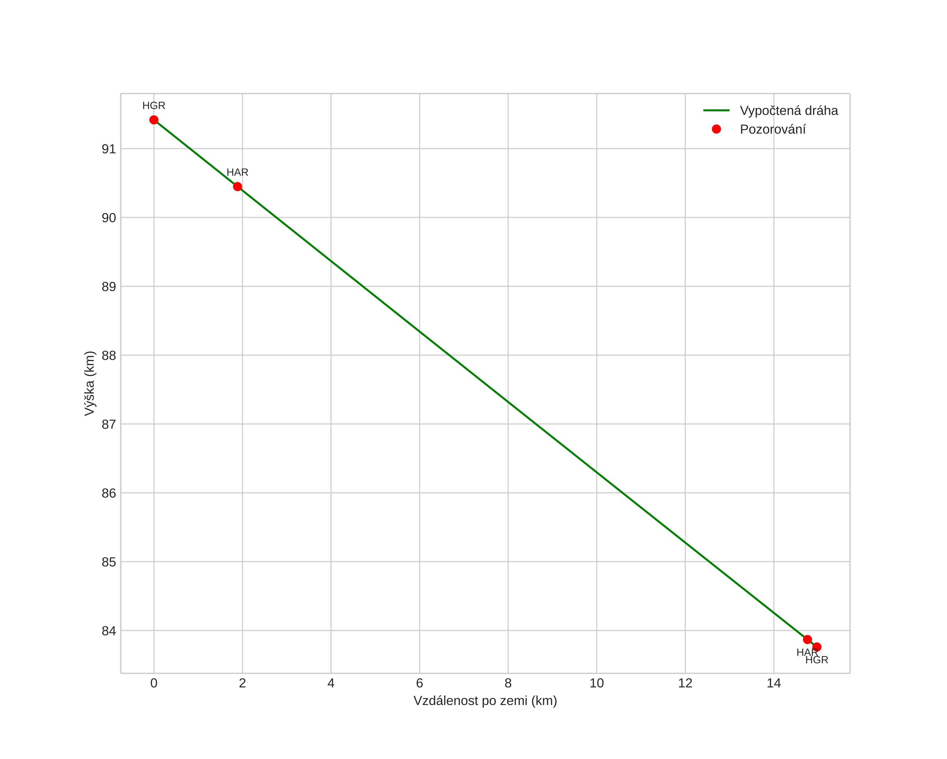
Atmosférická dráha meteoru:
Počáteční výška: 95,8 km
Konečná výška: 83,5 km
Počáteční poloha: 58,890N 8,784E
Konečná poloha: 58,883N 8,378E
Směr: 268,4°
Sklon: 27,8°
Vstupní rychlost: 27,2 km/s
Rektascenze radiantu: 03:20 (50,1°)
Deklinace radiantu: 21,8°
Meteorický roj: Jižní Tauridy
Elementy dráhy meteoroidu:
Vzdálenost v periheliu: 0,520 AU
Excentricita: 0,813
Sklon dráhy: 2,7°
Délka vzestupného uzlu: 231,2°
Argument perihelia: 273,4°
Střední anomálie: 350,8°
Epocha: 2025 NOV 13 18:03:26
orbit plot

Neinteraktivní graf | Interaktivní graf

position vs time
speed and acceleration