🇳🇴 🇬🇧 🇩🇪 🇨🇿 🇫🇮

Meteor Andenesin yllä 2025-11-13 18:14:15 UTC

KML-tiedosto  |  Interaktiivinen kartta

Kartta näyttää meteorin suuntahavainnot. Vaaleammat viivat näyttävät suunnat havaintoasemilta meteorin ilmestyessä, ja tummemmat viivat näyttävät, missä se viimeksi nähtiin. Sininen nuoli näyttää meteorin näkyvän lennon.

static map
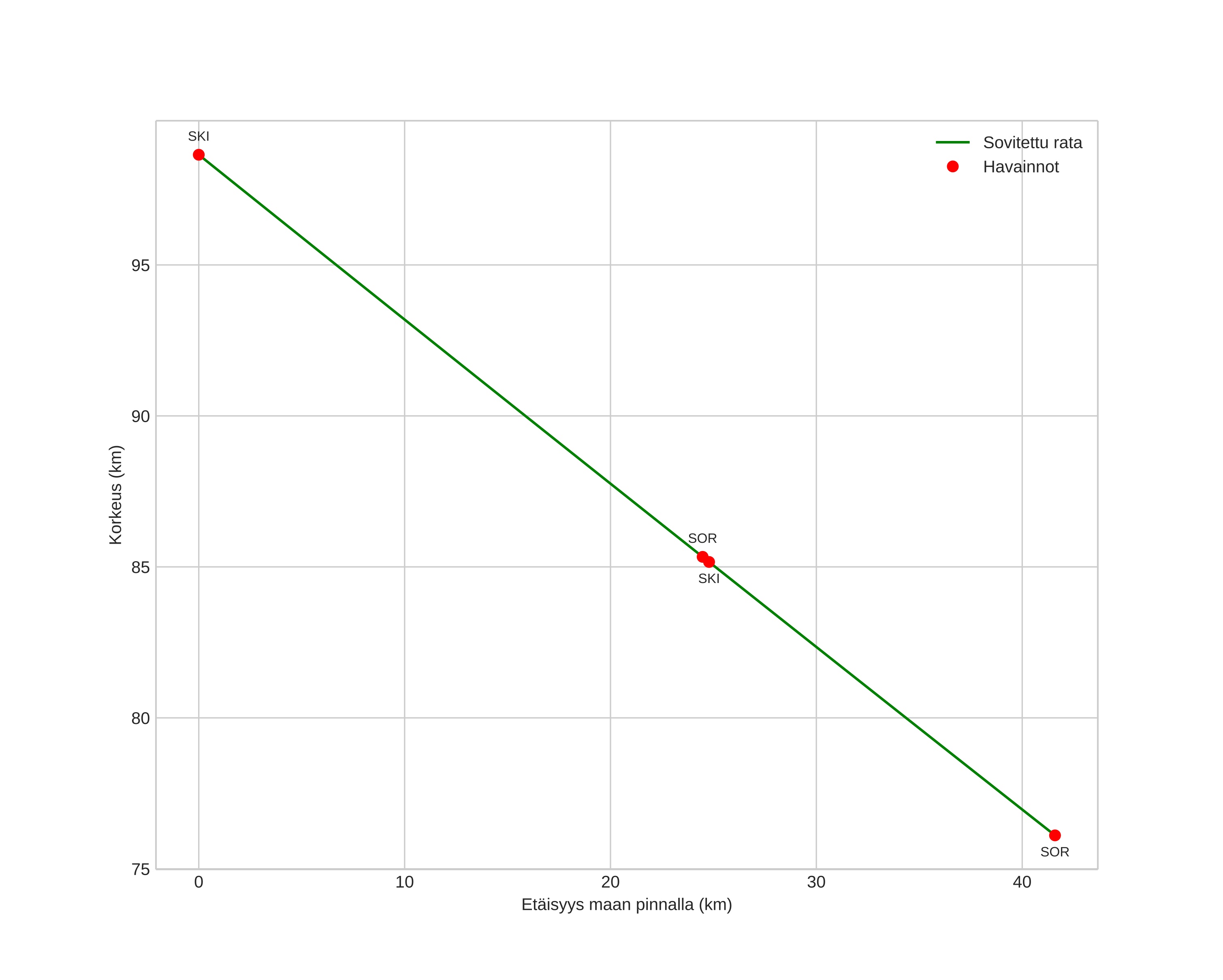
height profile
Meteorin ilmakehärata:
Alkukorkeus: 98,6 km
Loppukorkeus: 76,1 km
Alkupiste: 69,960N 17,547E
Loppupiste: 70,008N 16,464E
Suunta: 277,8°
Kallistuskulma: 28,4°
Tulonopeus: 31,5 km/s
Radiantin R,A,: 03:47 (57,0°)
Radiantin Dekl,: 21,8°
Meteoriparvi: Pohjoiset tauridit
Meteoroidin rataelementit:
Perihelietäisyys: 0,392 AU
Eksentrisyys: 0,885
Inklinaatio: 2,1°
Nousevan solmun pituus: 231,2°
Perihelin argumentti: 286,7°
Keskianomalia: 353,6°
Epookki: 2025 NOV 13 18:14:15
orbit plot

Ei-interaktiivinen kuvaaja | Interaktiivinen kuvaaja

position vs time
speed and acceleration

Skibotn (SKI) cam1


gnomonic
Videot:
• Gnomoninen
• Gnomoninen koordinaateilla
• Alkuperäinen
• Alkuperäinen koordinaateilla
Kuvat:
• Gnomoninen
• Gnomoninen koordinaateilla
• Alkuperäinen
• Alkuperäinen koordinaateilla
Tekstitiedostot:
• Havaintoraportti
• Observaatio
• Koordinaatit
• Loki
Kirkkaus

Sorreisa (SOR) cam1


gnomonic
Videot:
• Gnomoninen
• Gnomoninen koordinaateilla
• Alkuperäinen
• Alkuperäinen koordinaateilla
Kuvat:
• Gnomoninen
• Gnomoninen koordinaateilla
• Alkuperäinen
• Alkuperäinen koordinaateilla
Tekstitiedostot:
• Havaintoraportti
• Observaatio
• Koordinaatit
• Loki
Kirkkaus