🇳🇴 🇬🇧 🇩🇪 🇨🇿 🇫🇮

Meteor, poloha: Lena 2025-11-13 18:24:35 UTC

Soubor KML  |  Interaktivní mapa

Mapa zobrazuje dráhy meteoru. Světlejší čáry ukazují směry od pozorovacích stanic při objevení se meteoru a tmavší čáry, kde byl naposledy viděn. Modrá šipka značí viditelnou dráhu meteoru.

static map
height profile
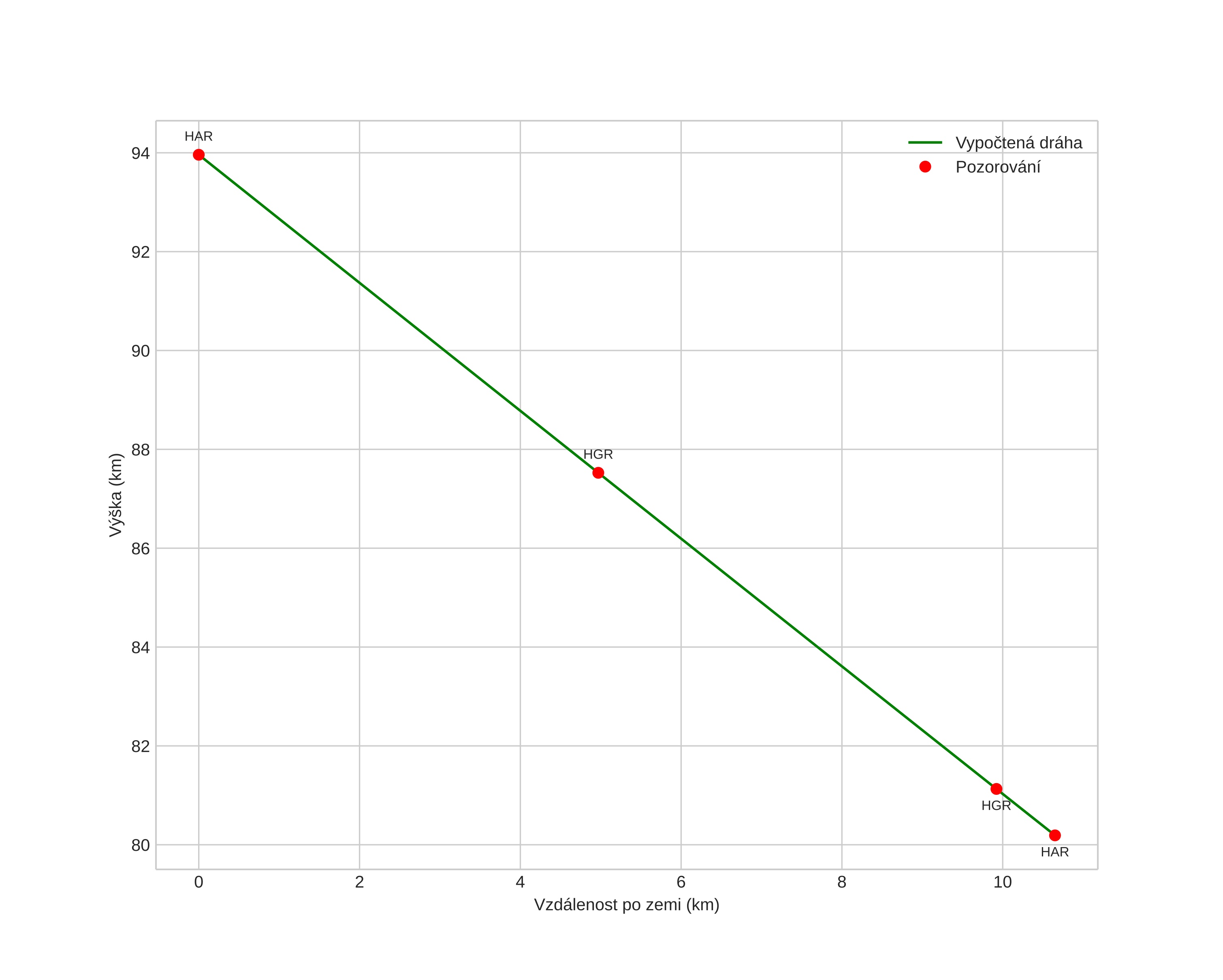
Atmosférická dráha meteoru:
Počáteční výška: 94,1 km
Konečná výška: 79,7 km
Počáteční poloha: 60,762N 10,684E
Konečná poloha: 60,671N 10,769E
Směr: 155,3°
Sklon: 52,4°
Vstupní rychlost: 3,0 km/s
orbit plot

Neinteraktivní graf | Interaktivní graf

position vs time
speed and acceleration