🇳🇴 🇬🇧 🇩🇪 🇨🇿 🇫🇮

Meteor over Lunde 2025-11-13 18:42:23 UTC

KML-fil

Kartet viser peilingene for meteoren. De lysere linjene viser retningene fra observasjonsstedene for meteorens tilsynekomst, og de mørkere linjene viser hvor den sist kunne sees. Den blå pila viser meteorens synlige ferd.

static map
height profile
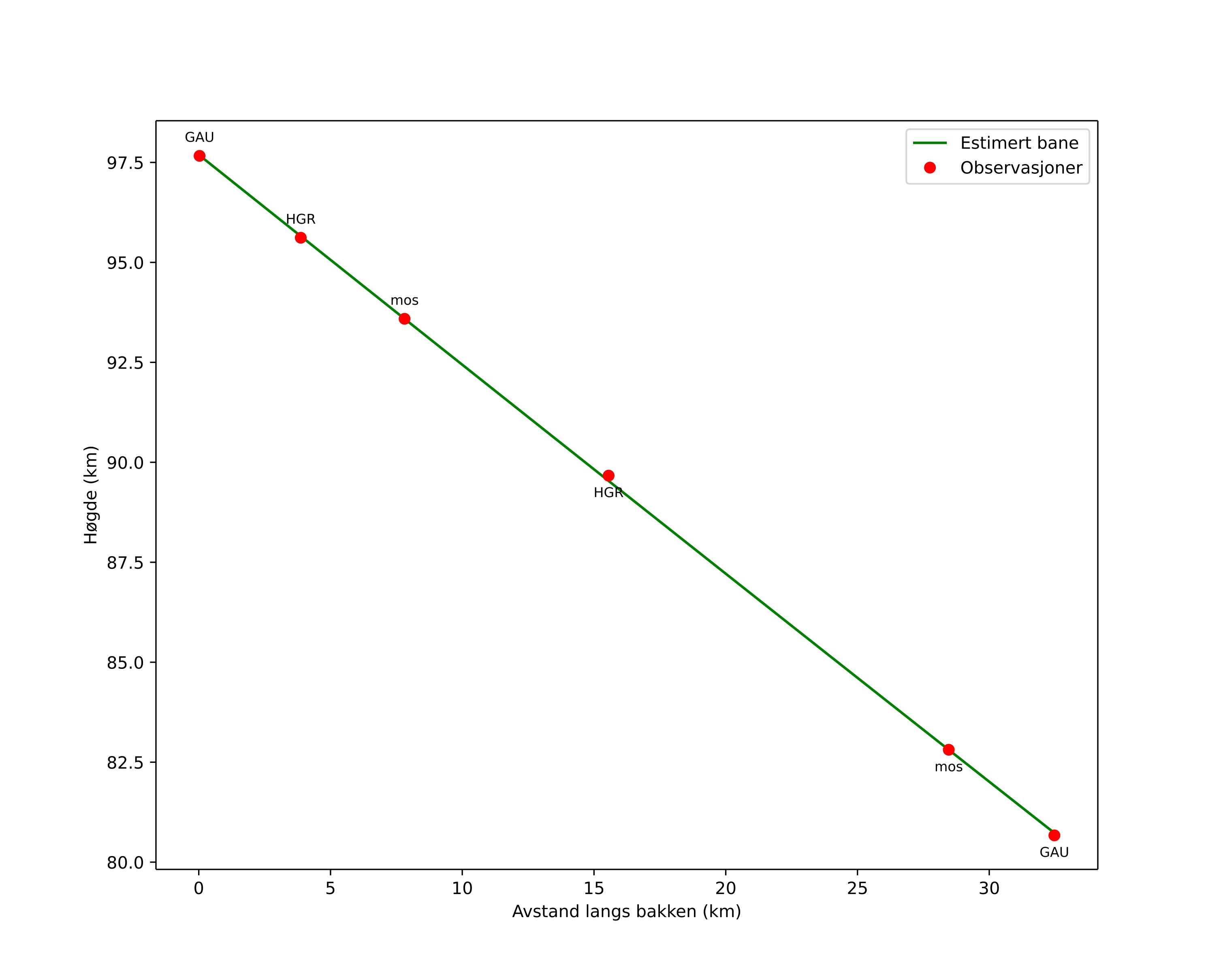
Meteorens atmosfæriske bane:
Starthøgde: 97,7 km
Slutthøgde: 80,7 km
Startposisjon: 59,271N 9,731E
Sluttposisjon: 59,262N 9,159E
Retning: 268,5°
Fallvinkel: 27,6°
Inngangshastighet: 29,8 km/s
Radiantens rektascensjon: 04:02 (60,7°)
Radiantens deklinasjon: 22,1°
Meteorsverm: Nordlige tauridene
Meteoroidens baneelement:
Perihelavstand: 0,367 AU
Eksentrisitet: 0,814
Inklinasjon: 1,6°
Knutelengde: 231,2°
Perihelargument: 293,9°
Midlere anomali: 344,6°
Epoke: 2025 NOV 13 18:42:23
orbit plot

Ikke-interaktivt plott

position vs time
speed and acceleration

Gaustatoppen (GAU) cam7


gnomonic
Videoer
• Gnomonisk
• Gnomonisk med koordinater
• Original
• Original (HEVC)
• Original med koordinater
Bilder
• Gnomonisk
• Gnomonisk med koordinater
• Original
• Original med koordinater
Tekstfiler
• Deteksjon
• Observasjon
• Koordinater
• Logg
Lysstyrke

Hagar (HGR) cam5


gnomonic
Videoer
• Gnomonisk
• Gnomonisk med koordinater
• Original
• Original (HEVC)
• Original med koordinater
Bilder
• Gnomonisk
• Gnomonisk med koordinater
• Original
• Original med koordinater
Tekstfiler
• Deteksjon
• Observasjon
• Koordinater
• Logg
Lysstyrke

Moss (mos) cam6


gnomonic
Videoer
• Gnomonisk
• Gnomonisk med koordinater
• Original
• Original (HEVC)
• Original med koordinater
Bilder
• Gnomonisk
• Gnomonisk med koordinater
• Original
• Original med koordinater
Tekstfiler
• Deteksjon
• Observasjon
• Koordinater
• Logg
Lysstyrke