🇳🇴 🇬🇧 🇩🇪 🇨🇿 🇫🇮

Meteor, poloha: Innbygda 2025-11-13 19:28:11 UTC

Soubor KML

Mapa zobrazuje dráhy meteoru. Světlejší čáry ukazují směry od pozorovacích stanic při objevení se meteoru a tmavší čáry, kde byl naposledy viděn. Modrá šipka značí viditelnou dráhu meteoru.

static map
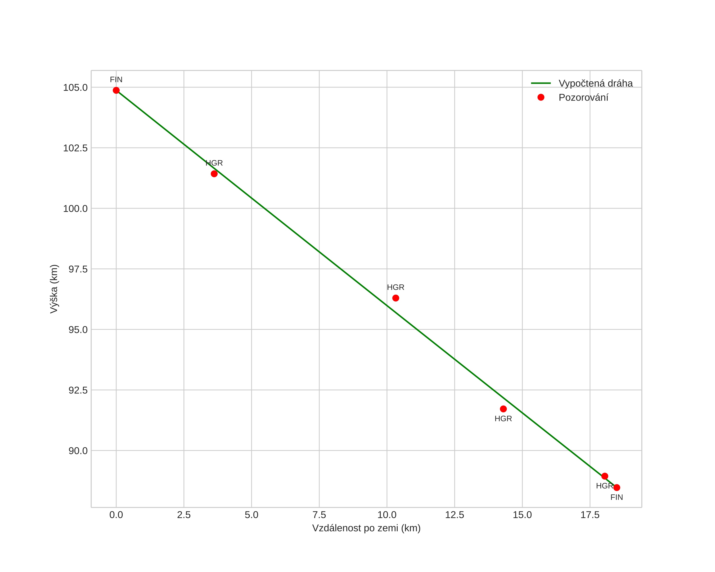
height profile
Atmosférická dráha meteoru:
Počáteční výška: 104,9 km
Konečná výška: 88,5 km
Počáteční poloha: 61,616N 12,854E
Konečná poloha: 61,450N 12,842E
Směr: 182,0°
Sklon: 41,6°
VstupnĂ­ rychlost: 49,2 km/s
Rektascenze radiantu: 11:36 (174,0°)
Deklinace radiantu: 69,5°
MeteorickĂ˝ roj: sporadickĂ˝
Elementy dráhy meteoroidu:
Vzdálenost v periheliu: 0,973 AU
Excentricita: 0,890
Sklon dráhy: 83,1°
Délka vzestupného uzlu: 231,3°
Argument perihelia: 195,2°
Střední anomálie: 359,6°
Epocha: 2025 NOV 13 19:28:11
orbit plot

NeinteraktivnĂ­ graf

position vs time
speed and acceleration

Finnskogen (FIN) cam6


gnomonic
Videa
• Gnomonická
• Gnomonická se souřadnicemi
• Původní
• Původní (HEVC)
• Původní se souřadnicemi
Obrázky
• Gnomonická
• Gnomonická se souřadnicemi
• Původní
• Původní se souřadnicemi
Textové soubory
• Detekce
• Pozorování
• Souřadnice
• Protokol
Jasnost

Hagar (HGR) cam3


gnomonic
Videa
• Gnomonická
• Gnomonická se souřadnicemi
• Původní
• Původní (HEVC)
• Původní se souřadnicemi
Obrázky
• Gnomonická
• Gnomonická se souřadnicemi
• Původní
• Původní se souřadnicemi
Textové soubory
• Detekce
• Pozorování
• Souřadnice
• Protokol
Jasnost

Hagar (HGR) cam7


gnomonic
Videa
• Gnomonická
• Gnomonická se souřadnicemi
• Původní
• Původní (HEVC)
• Původní se souřadnicemi
Obrázky
• Gnomonická
• Gnomonická se souřadnicemi
• Původní
• Původní se souřadnicemi
Textové soubory
• Detekce
• Pozorování
• Souřadnice
• Protokol
Jasnost