🇳🇴 🇬🇧 🇩🇪 🇨🇿 🇫🇮

Meteor über Billingstad 2025-11-13 19:55:52 UTC

KML-Datei  |  Interaktive Karte

Die Karte zeigt die Peilungen für den Meteor. Die helleren Linien zeigen die Richtungen von den Beobachtungsorten beim Erscheinen des Meteors, und die dunkleren Linien, wo er zuletzt gesehen wurde. Der blaue Pfeil zeigt die sichtbare Bahn des Meteors.

static map
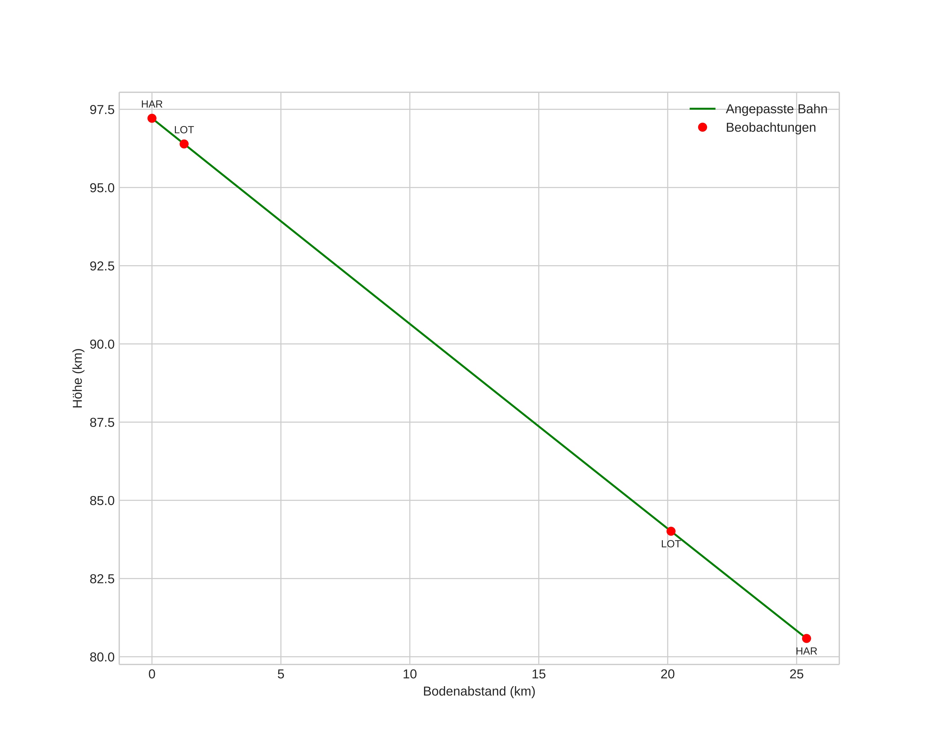
height profile
Atmosphärische Bahn des Meteors:
Anfangshöhe: 96,4 km
Endhöhe: 80,6 km
Startposition: 59,776N 10,887E
Endposition: 59,868N 10,496E
Richtung: 295,3°
Neigungswinkel: 33,2°
Eintrittsgeschwindigkeit: 28,2 km/s
Rektaszension des Radianten: 03:43 (55,8°)
Deklination des Radianten: 14,7°
Meteorstrom: Südliche Tauriden
Bahnelemente des Meteoroiden:
Periheldistanz: 0,467 AU
Exzentrizität: 0,812
Inklination: 4,5°
Länge des aufsteigenden Knotens: 51,4°
Argument des Perihels: 100,2°
Mittlere Anomalie: 349,1°
Epoche: 2025 NOV 13 19:55:52
orbit plot

Nicht-interaktives Diagramm | Interaktives Diagramm

position vs time
speed and acceleration

Harestua (HAR) cam7


gnomonic
Videos
• Gnomonisch
• Gnomonisch mit Koordinaten
• Original
• Original mit Koordinaten
Bilder
• Gnomonisch
• Gnomonisch mit Koordinaten
• Original
• Original mit Koordinaten
Textdateien
• Erkennung
• Beobachtung
• Koordinaten
• Protokoll
Helligkeit

Loten (LOT) cam4


gnomonic
Videos
• Gnomonisch
• Gnomonisch mit Koordinaten
• Original
• Original mit Koordinaten
Bilder
• Gnomonisch
• Gnomonisch mit Koordinaten
• Original
• Original mit Koordinaten
Textdateien
• Erkennung
• Beobachtung
• Koordinaten
• Protokoll
Helligkeit