🇳🇴 🇬🇧 🇩🇪 🇨🇿 🇫🇮

Meteor, poloha: Raufoss 2025-11-13 21:08:30 UTC

Soubor KML  |  Interaktivní mapa

Mapa zobrazuje dráhy meteoru. Světlejší čáry ukazují směry od pozorovacích stanic při objevení se meteoru a tmavší čáry, kde byl naposledy viděn. Modrá šipka značí viditelnou dráhu meteoru.

static map
height profile
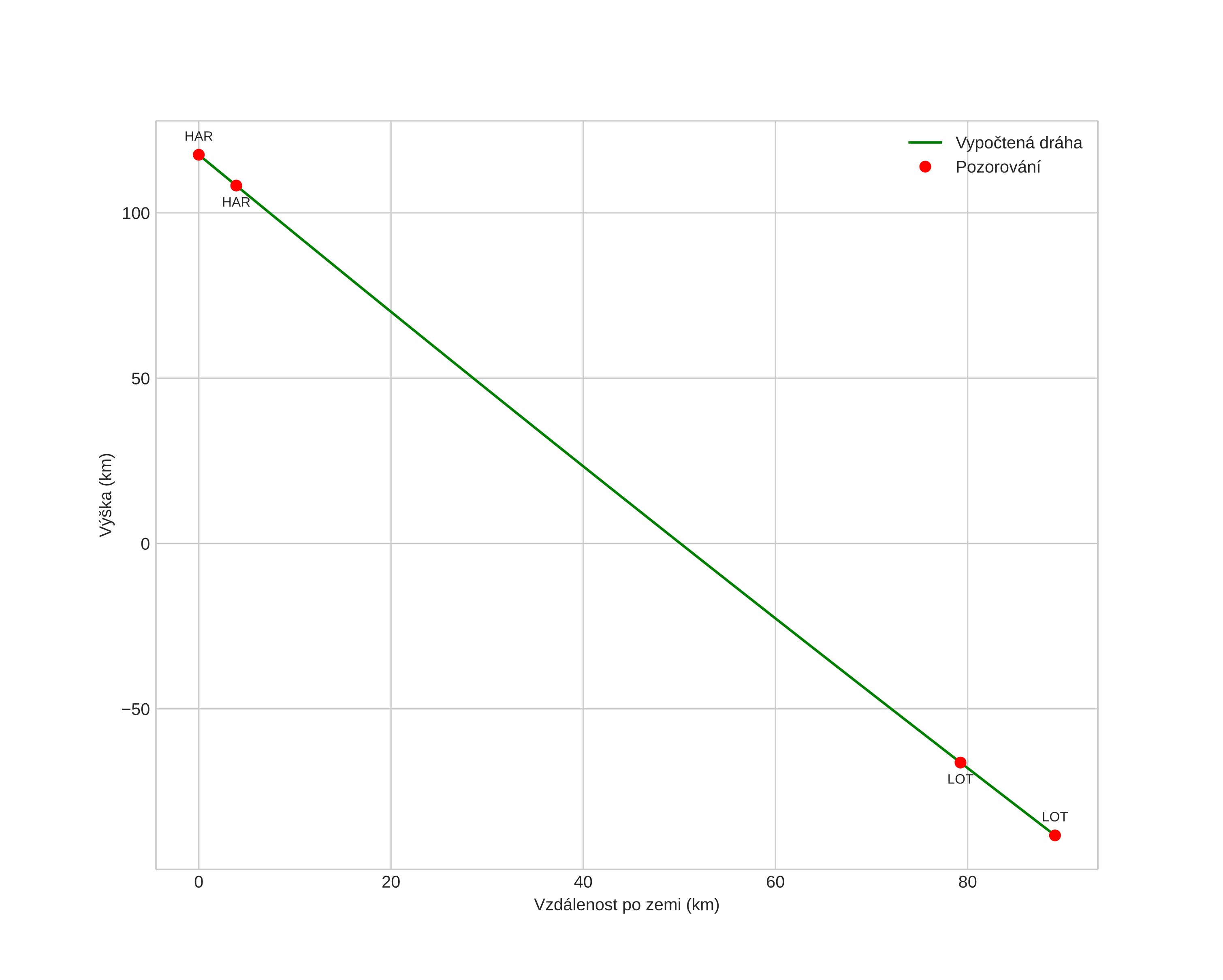
Atmosférická dráha meteoru:
Počáteční výška: 117,8 km
Konečná výška: -87,8 km
Počáteční poloha: 61,126N 11,948E
Konečná poloha: 60,744N 10,499E
Směr: 242,1°
Sklon: 66,6°
position vs time
speed and acceleration