🇳🇴 🇬🇧 🇩🇪 🇨🇿 🇫🇮

Meteor over Vansbro 2025-11-13 21:31:38 UTC

KML file

The map shows the bearings for the meteor. The lighter lines show the directions from the observation sites at the meteor's appearance, and the darker lines show where it was last seen. The blue arrow indicates the visible path of the meteor.

static map
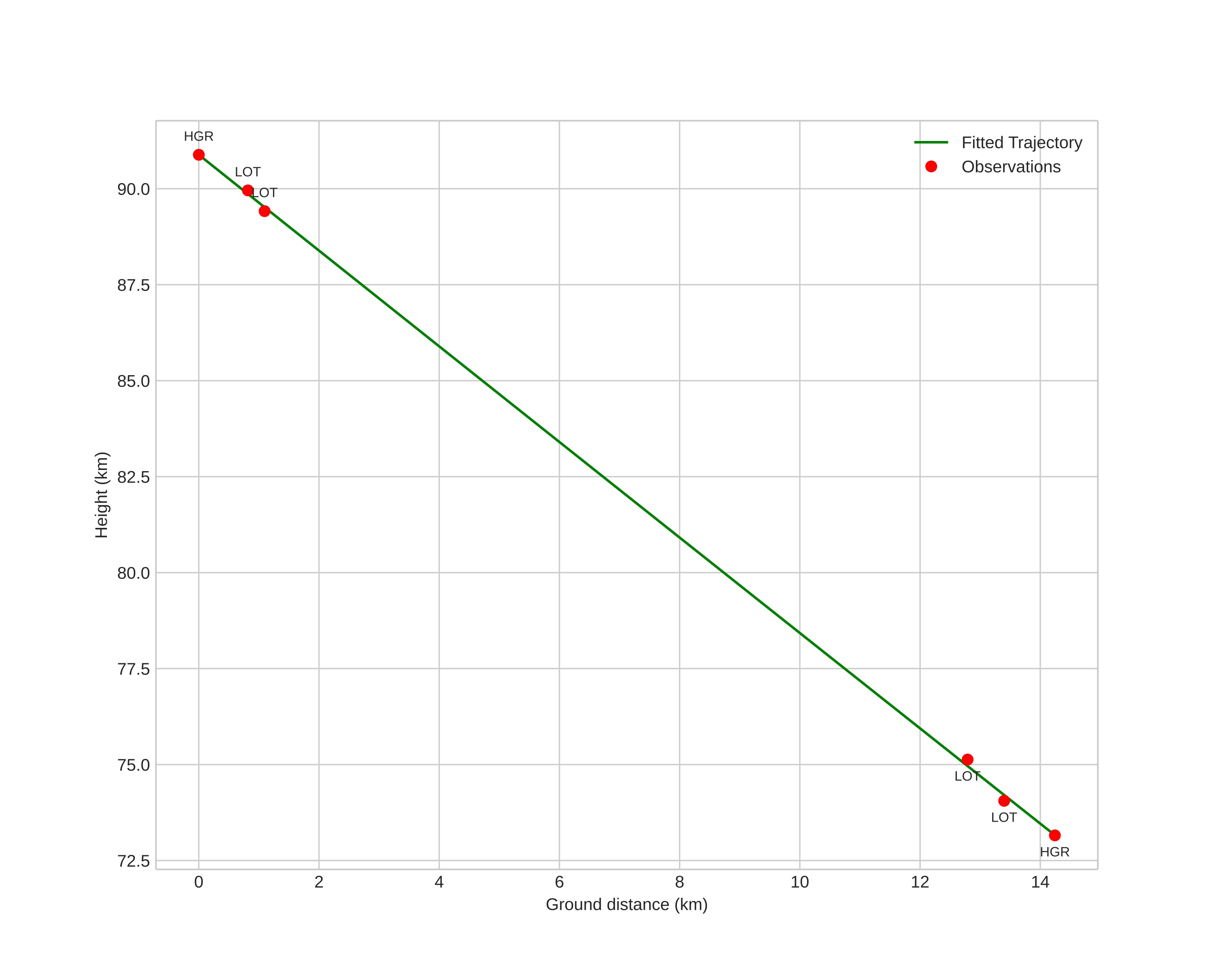
height profile
Meteor's Atmospheric Trajectory:
Start height: 90.9 km
End height: 73.2 km
Start position: 60.131N 14.223E
End position: 60.230N 14.059E
Direction: 320.5°
Inclination angle: 51.2°
Entry speed: 29.9 km/s
Radiant R.A.: 03:45 (56.3°)
Radiant Dec.: 24.3°
Meteor Shower: Northern Taurids
Meteoroid's Orbital Elements:
Perihelion distance: 0.414 AU
Eccentricity: 0.844
Inclination: 4.6°
Long. of Asc. Node: 231.4°
Argument of Perihelion: 285.7°
Mean Anomaly: 350.3°
Epoch: 2025 NOV 13 21:31:38
orbit plot

Non-interactive plot

position vs time
speed and acceleration

Hagar (HGR) cam3


gnomonic
Videos
• Gnomonic
• Gnomonic with coordinates
• Original
• Original (HEVC)
• Original with coordinates
Images
• Gnomonic
• Gnomonic with coordinates
• Original
• Original with coordinates
Text Files
• Detection
• Observation
• Coordinates
• Log
Brightness

Loten (LOT) cam2


gnomonic
Videos
• Gnomonic
• Gnomonic with coordinates
• Original
• Original (HEVC)
• Original with coordinates
Images
• Gnomonic
• Gnomonic with coordinates
• Original
• Original with coordinates
Text Files
• Detection
• Observation
• Coordinates
• Log
Brightness

Loten (LOT) cam3


gnomonic
Videos
• Gnomonic
• Gnomonic with coordinates
• Original
• Original (HEVC)
• Original with coordinates
Images
• Gnomonic
• Gnomonic with coordinates
• Original
• Original with coordinates
Text Files
• Detection
• Observation
• Coordinates
• Log
Brightness