🇳🇴 🇬🇧 🇩🇪 🇨🇿 🇫🇮

Meteor over Älvdalen 2025-11-13 22:02:47 UTC

KML-fil

Kartet viser peilingene for meteoren. De lysere linjene viser retningene fra observasjonsstedene for meteorens tilsynekomst, og de mørkere linjene viser hvor den sist kunne sees. Den blå pila viser meteorens synlige ferd.

static map
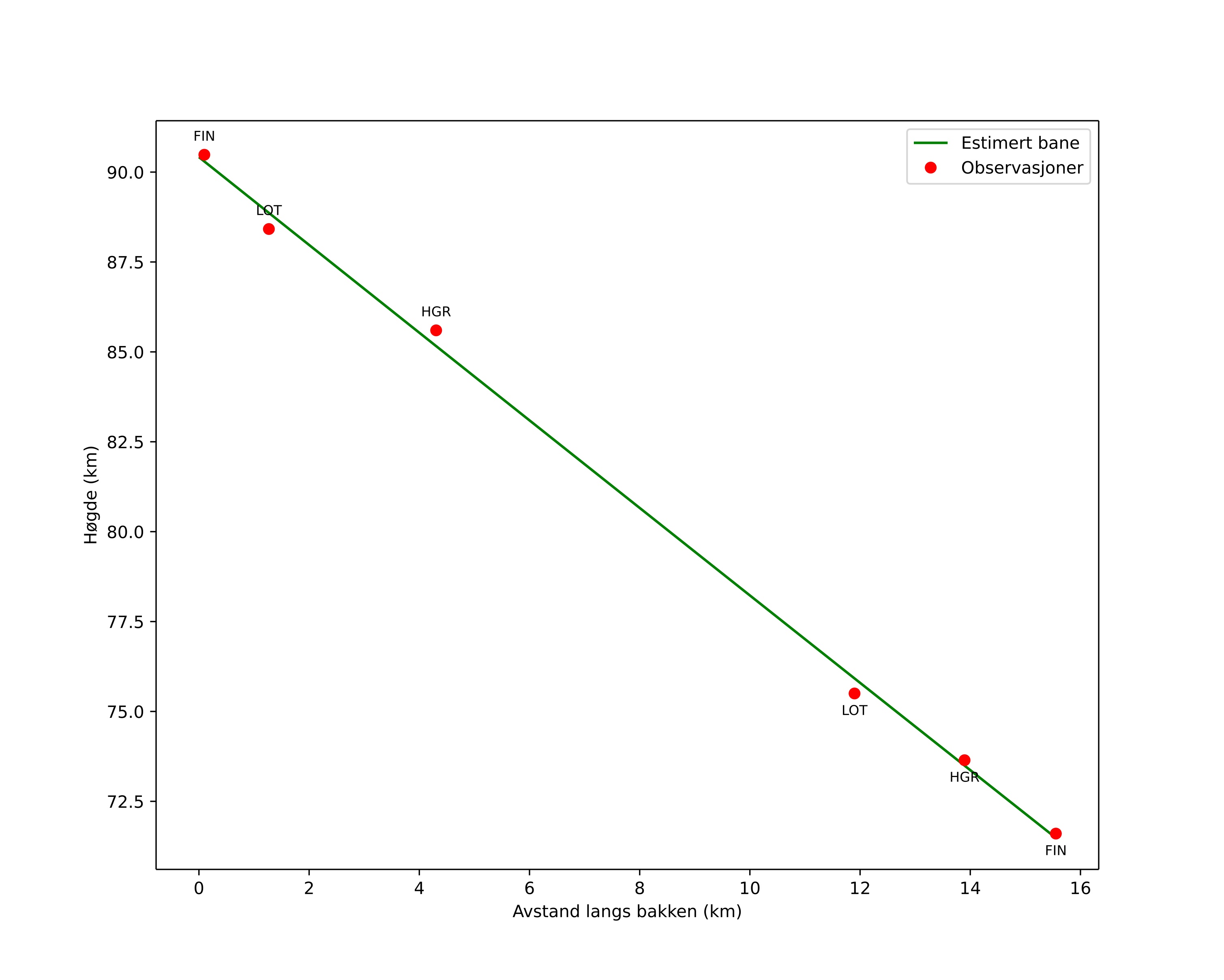
height profile
Meteorens atmosfæriske bane:
Starthøgde: 90,4 km
Slutthøgde: 71,6 km
Startposisjon: 61,065N 13,841E
Sluttposisjon: 61,189N 13,709E
Retning: 332,8°
Fallvinkel: 50,5°
Inngangshastighet: 26,7 km/s
Radiantens rektascensjon: 03:43 (55,8°)
Radiantens deklinasjon: 21,7°
Meteorsverm: Nordlige tauridene
Meteoroidens baneelement:
Perihelavstand: 0,462 AU
Eksentrisitet: 0,760
Inklinasjon: 1,7°
Knutelengde: 231,3°
Perihelargument: 283,7°
Midlere anomali: 343,2°
Epoke: 2025 NOV 13 22:02:47
orbit plot

Ikke-interaktivt plott

position vs time
speed and acceleration

Finnskogen (FIN) cam6


gnomonic
Videoer
• Gnomonisk
• Gnomonisk med koordinater
• Original
• Original (HEVC)
• Original med koordinater
Bilder
• Gnomonisk
• Gnomonisk med koordinater
• Original
• Original med koordinater
Tekstfiler
• Deteksjon
• Observasjon
• Koordinater
• Logg
Lysstyrke

Hagar (HGR) cam3


gnomonic
Videoer
• Gnomonisk
• Gnomonisk med koordinater
• Original
• Original (HEVC)
• Original med koordinater
Bilder
• Gnomonisk
• Gnomonisk med koordinater
• Original
• Original med koordinater
Tekstfiler
• Deteksjon
• Observasjon
• Koordinater
• Logg
Lysstyrke

Loten (LOT) cam2


gnomonic
Videoer
• Gnomonisk
• Gnomonisk med koordinater
• Original
• Original (HEVC)
• Original med koordinater
Bilder
• Gnomonisk
• Gnomonisk med koordinater
• Original
• Original med koordinater
Tekstfiler
• Deteksjon
• Observasjon
• Koordinater
• Logg
Lysstyrke