🇳🇴 🇬🇧 🇩🇪 🇨🇿 🇫🇮

Meteor over Torsby 2025-11-13 22:49:47 UTC

KML-fil

Kartet viser peilingene for meteoren. De lysere linjene viser retningene fra observasjonsstedene for meteorens tilsynekomst, og de mørkere linjene viser hvor den sist kunne sees. Den blå pila viser meteorens synlige ferd.

static map
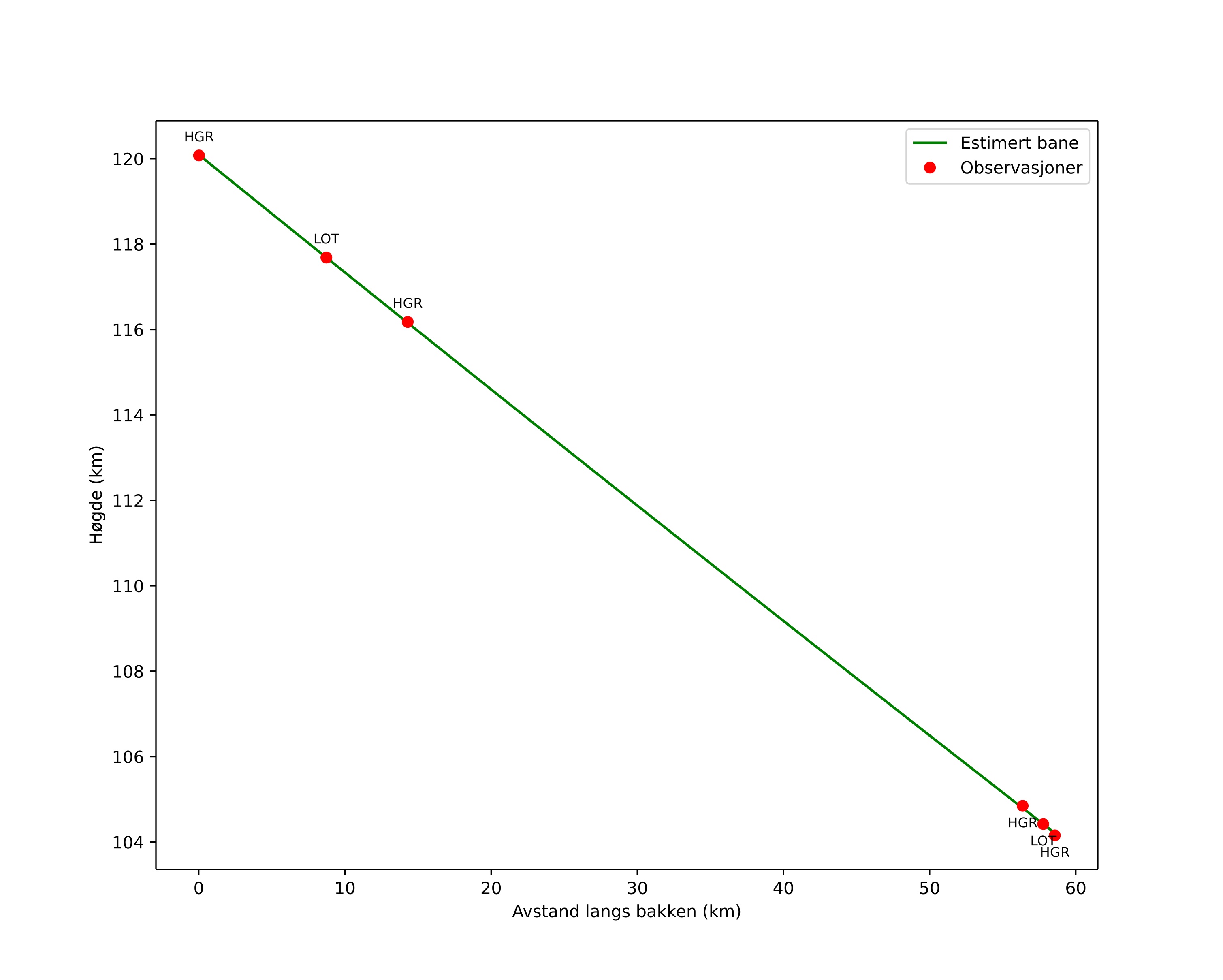
height profile
Meteorens atmosfæriske bane:
Starthøgde: 120,1 km
Slutthøgde: 104,2 km
Startposisjon: 60,590N 13,757E
Sluttposisjon: 60,388N 12,769E
Retning: 247,9°
Fallvinkel: 15,2°
Inngangshastighet: 72,3 km/s
Radiantens rektascensjon: 10:04 (151,2°)
Radiantens deklinasjon: 23,7°
Meteorsverm: Leonidene
Meteoroidens baneelement:
Perihelavstand: 0,982 AU
Eksentrisitet: 0,978
Inklinasjon: 160,9°
Knutelengde: 231,5°
Perihelargument: 169,7°
Midlere anomali: 0,0°
Epoke: 2025 NOV 13 22:49:47
orbit plot

Ikke-interaktivt plott

position vs time
speed and acceleration

Hagar (HGR) cam3


gnomonic
Videoer
• Gnomonisk
• Gnomonisk med koordinater
• Original
• Original (HEVC)
• Original med koordinater
Bilder
• Gnomonisk
• Gnomonisk med koordinater
• Original
• Original med koordinater
Tekstfiler
• Deteksjon
• Observasjon
• Koordinater
• Logg
Lysstyrke

Hagar (HGR) cam4


gnomonic
Videoer
• Gnomonisk
• Gnomonisk med koordinater
• Original
• Original (HEVC)
• Original med koordinater
Bilder
• Gnomonisk
• Gnomonisk med koordinater
• Original
• Original med koordinater
Tekstfiler
• Deteksjon
• Observasjon
• Koordinater
• Logg
Lysstyrke

Loten (LOT) cam7


gnomonic
Videoer
• Gnomonisk
• Gnomonisk med koordinater
• Original
• Original (HEVC)
• Original med koordinater
Bilder
• Gnomonisk
• Gnomonisk med koordinater
• Original
• Original med koordinater
Tekstfiler
• Deteksjon
• Observasjon
• Koordinater
• Logg
Lysstyrke