🇳🇴 🇬🇧 🇩🇪 🇨🇿 🇫🇮

Meteor over Arvika 2025-11-13 22:57:47 UTC

KML-fil

Kartet viser peilingene for meteoren. De lysere linjene viser retningene fra observasjonsstedene for meteorens tilsynekomst, og de mørkere linjene viser hvor den sist kunne sees. Den blå pila viser meteorens synlige ferd.

static map
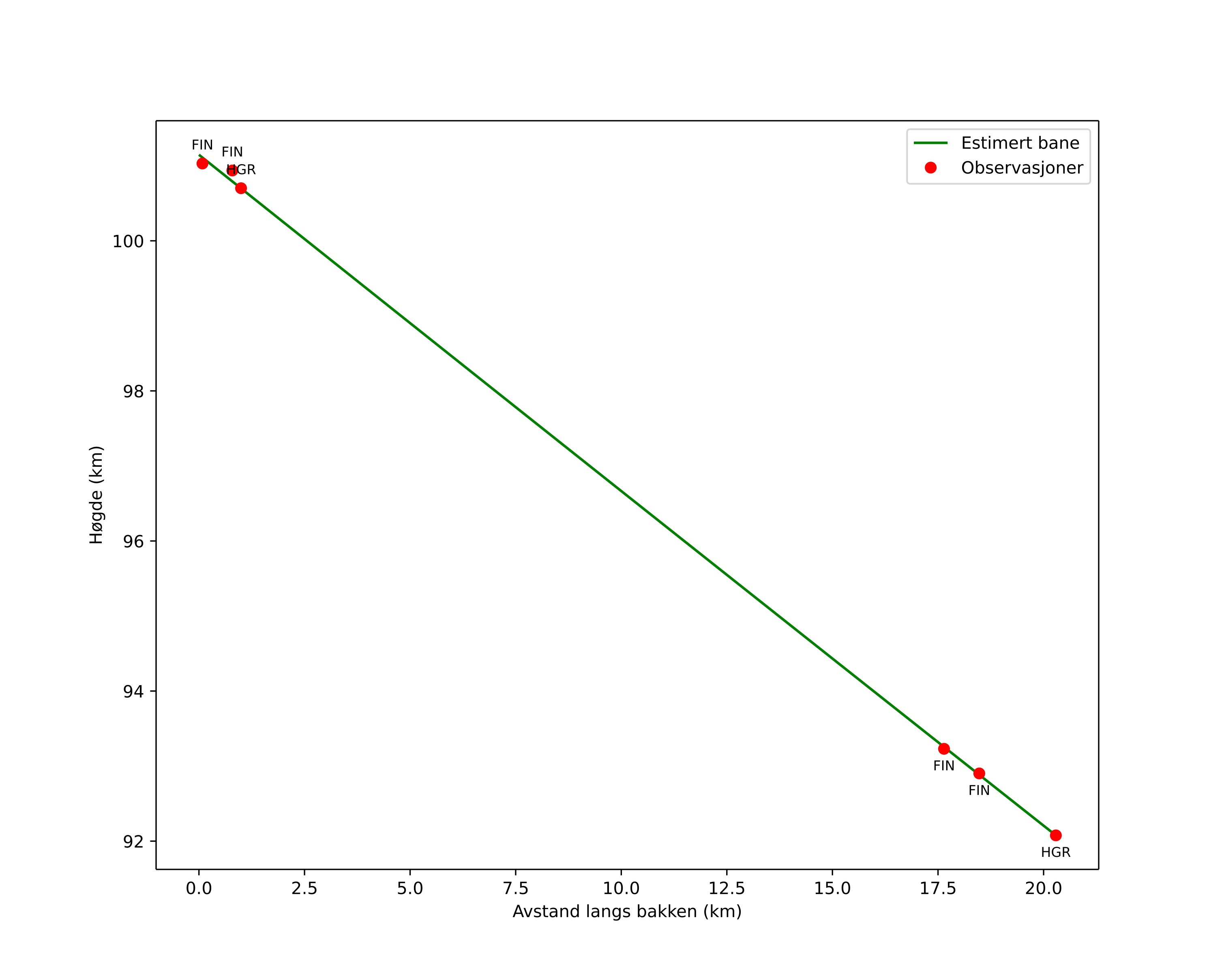
height profile
Meteorens atmosfæriske bane:
Starthøgde: 101,1 km
Slutthøgde: 92,1 km
Startposisjon: 59,672N 13,076E
Sluttposisjon: 59,682N 12,716E
Retning: 273,4°
Fallvinkel: 23,9°
Inngangshastighet: 66,0 km/s
Radiantens rektascensjon: 08:20 (125,2°)
Radiantens deklinasjon: 18,5°
Meteorsverm: sporadisk
Meteoroidens baneelement:
Perihelavstand: 0,629 AU
Eksentrisitet: 0,738
Inklinasjon: 177,9°
Knutelengde: 51,4°
Perihelargument: 81,8°
Midlere anomali: 348,3°
Epoke: 2025 NOV 13 22:57:47
orbit plot

Ikke-interaktivt plott

position vs time
speed and acceleration

Finnskogen (FIN) cam3


gnomonic
Videoer
• Gnomonisk
• Gnomonisk med koordinater
• Original
• Original (HEVC)
• Original med koordinater
Bilder
• Gnomonisk
• Gnomonisk med koordinater
• Original
• Original med koordinater
Tekstfiler
• Deteksjon
• Observasjon
• Koordinater
• Logg
Lysstyrke

Finnskogen (FIN) cam4


gnomonic
Videoer
• Gnomonisk
• Gnomonisk med koordinater
• Original
• Original (HEVC)
• Original med koordinater
Bilder
• Gnomonisk
• Gnomonisk med koordinater
• Original
• Original med koordinater
Tekstfiler
• Deteksjon
• Observasjon
• Koordinater
• Logg
Lysstyrke

Hagar (HGR) cam4


gnomonic
Videoer
• Gnomonisk
• Gnomonisk med koordinater
• Original
• Original (HEVC)
• Original med koordinater
Bilder
• Gnomonisk
• Gnomonisk med koordinater
• Original
• Original med koordinater
Tekstfiler
• Deteksjon
• Observasjon
• Koordinater
• Logg
Lysstyrke