🇳🇴 🇬🇧 🇩🇪 🇨🇿 🇫🇮

Meteor over Laxå 2025-11-13 23:10:38 UTC

KML-fil

Kartet viser peilingene for meteoren. De lysere linjene viser retningene fra observasjonsstedene for meteorens tilsynekomst, og de mørkere linjene viser hvor den sist kunne sees. Den blå pila viser meteorens synlige ferd.

static map
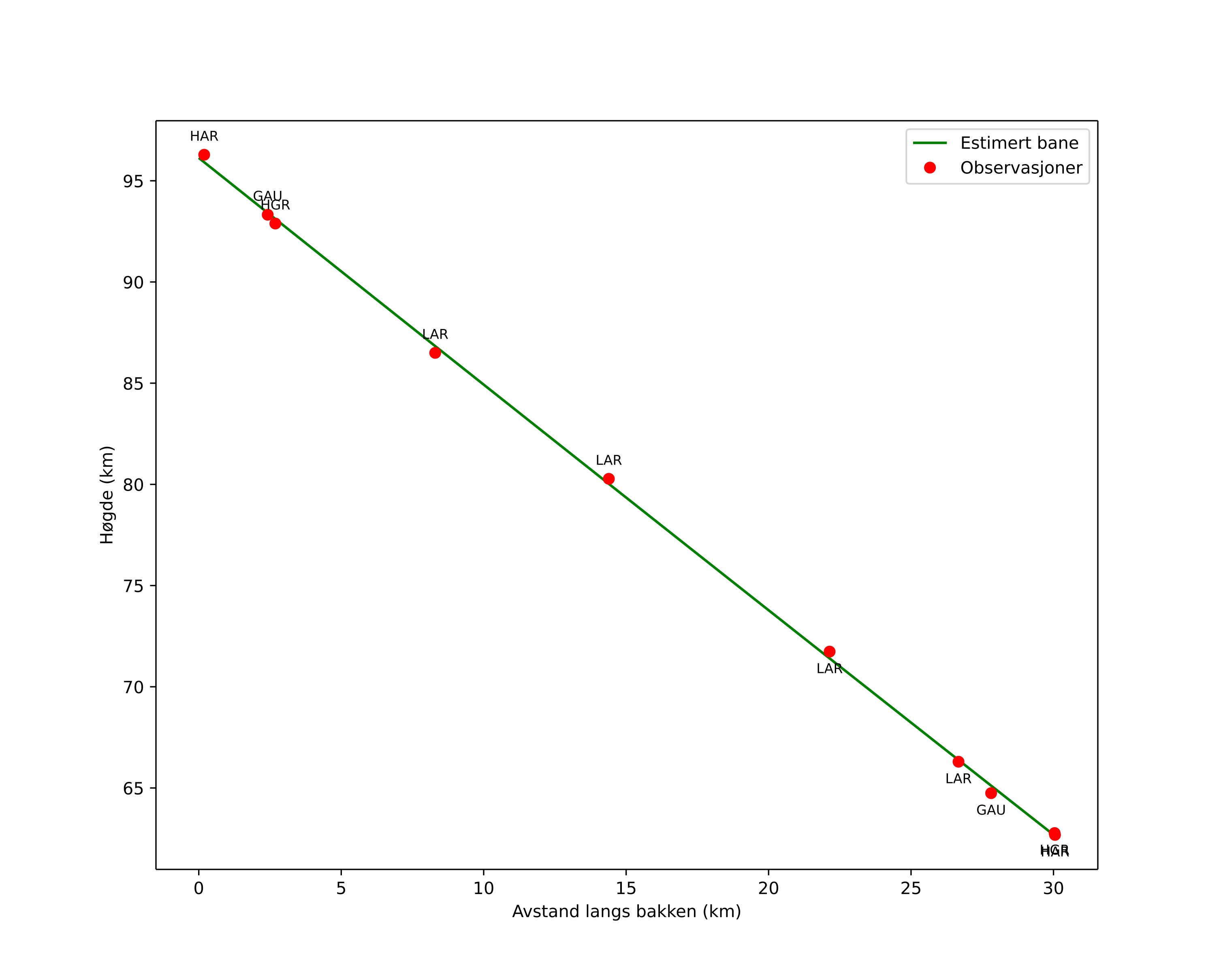
height profile
Meteorens atmosfæriske bane:
Starthøgde: 96,1 km
Slutthøgde: 62,7 km
Startposisjon: 58,760N 14,806E
Sluttposisjon: 59,027N 14,739E
Retning: 352,7°
Fallvinkel: 48,0°
Inngangshastighet: 30,3 km/s
Radiantens rektascensjon: 04:00 (60,1°)
Radiantens deklinasjon: 15,3°
Meteorsverm: Sørlige tauridene
Meteoroidens baneelement:
Perihelavstand: 0,390 AU
Eksentrisitet: 0,845
Inklinasjon: 5,8°
Knutelengde: 51,5°
Perihelargument: 108,8°
Midlere anomali: 349,6°
Epoke: 2025 NOV 13 23:10:38
orbit plot

Ikke-interaktivt plott

position vs time
speed and acceleration

Gaustatoppen (GAU) cam3


gnomonic
Videoer
• Gnomonisk
• Gnomonisk med koordinater
• Original
• Original (HEVC)
• Original med koordinater
Bilder
• Gnomonisk
• Gnomonisk med koordinater
• Original
• Original med koordinater
Tekstfiler
• Deteksjon
• Observasjon
• Koordinater
• Logg
Lysstyrke

Hagar (HGR) cam4


gnomonic
Videoer
• Gnomonisk
• Gnomonisk med koordinater
• Original
• Original (HEVC)
• Original med koordinater
Bilder
• Gnomonisk
• Gnomonisk med koordinater
• Original
• Original med koordinater
Tekstfiler
• Deteksjon
• Observasjon
• Koordinater
• Logg
Lysstyrke

Harestua (HAR) cam3


gnomonic
Videoer
• Gnomonisk
• Gnomonisk med koordinater
• Original
• Original (HEVC)
• Original med koordinater
Bilder
• Gnomonisk
• Gnomonisk med koordinater
• Original
• Original med koordinater
Tekstfiler
• Deteksjon
• Observasjon
• Koordinater
• Logg
Lysstyrke

Larvik (LAR) cam2


gnomonic
Videoer
• Gnomonisk
• Gnomonisk med koordinater
• Original
• Original (HEVC)
• Original med koordinater
Bilder
• Gnomonisk
• Gnomonisk med koordinater
• Original
• Original med koordinater
Tekstfiler
• Deteksjon
• Observasjon
• Koordinater
• Logg
Lysstyrke

Larvik (LAR) cam3


gnomonic
Videoer
• Gnomonisk
• Gnomonisk med koordinater
• Original
• Original (HEVC)
• Original med koordinater
Bilder
• Gnomonisk
• Gnomonisk med koordinater
• Original
• Original med koordinater
Tekstfiler
• Deteksjon
• Observasjon
• Koordinater
• Logg
Lysstyrke