🇳🇴 🇬🇧 🇩🇪 🇨🇿 🇫🇮

Meteor over Moelv 2025-11-13 23:13:23 UTC

KML-fil  |  Interaktivt kart

Kartet viser peilingene for meteoren. De lysere linjene viser retningene fra observasjonsstedene for meteorens tilsynekomst, og de mørkere linjene viser hvor den sist kunne sees. Den blå pila viser meteorens synlige ferd.

static map
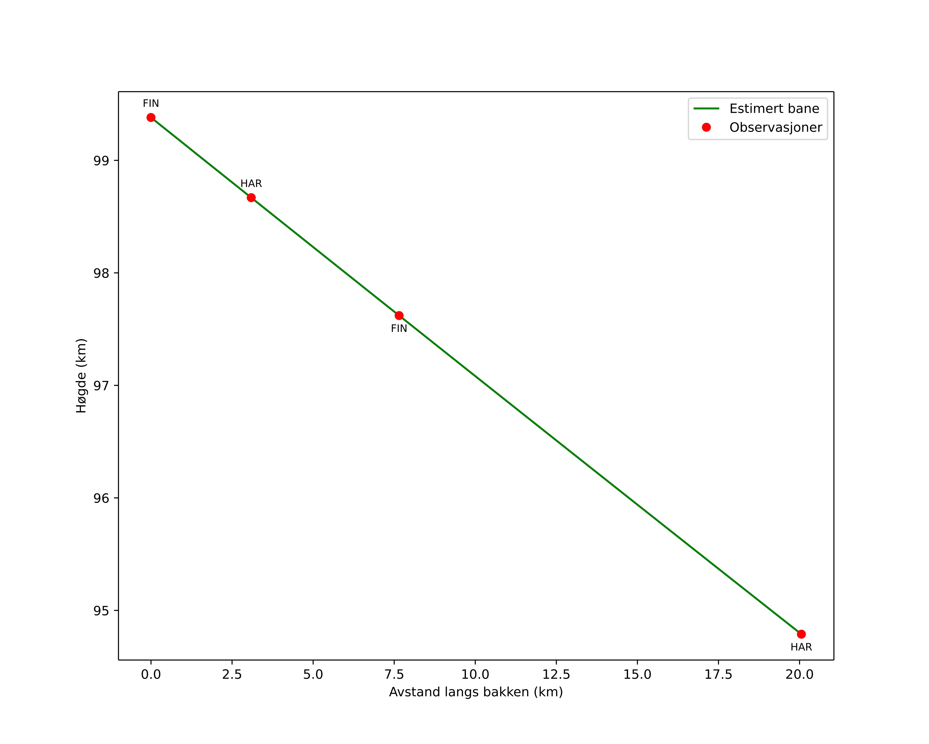
height profile
Meteorens atmosfæriske bane:
Starthøgde: 99,5 km
Slutthøgde: 94,8 km
Startposisjon: 61,080N 11,180E
Sluttposisjon: 61,155N 10,827E
Retning: 293,8°
Fallvinkel: 12,8°
Inngangshastighet: 64,3 km/s
Radiantens rektascensjon: 07:43 (115,8°)
Radiantens deklinasjon: -0,4°
Meteorsverm: sporadisk
Meteoroidens baneelement:
Perihelavstand: 0,632 AU
Eksentrisitet: 0,912
Inklinasjon: 135,9°
Knutelengde: 51,5°
Perihelargument: 76,0°
Midlere anomali: 358,0°
Epoke: 2025 NOV 13 23:13:23
orbit plot

Ikke-interaktivt plott | Interaktivt plott

position vs time
speed and acceleration

Finnskogen (FIN) cam6


gnomonic
Videoer
• Gnomonisk
• Gnomonisk med koordinater
• Original
• Original med koordinater
Bilder
• Gnomonisk
• Gnomonisk med koordinater
• Original
• Original med koordinater
Tekstfiler
• Deteksjon
• Observasjon
• Koordinater
• Logg
Lysstyrke

Harestua (HAR) cam1


gnomonic
Videoer
• Gnomonisk
• Gnomonisk med koordinater
• Original
• Original med koordinater
Bilder
• Gnomonisk
• Gnomonisk med koordinater
• Original
• Original med koordinater
Tekstfiler
• Deteksjon
• Observasjon
• Koordinater
• Logg
Lysstyrke