🇳🇴 🇬🇧 🇩🇪 🇨🇿 🇫🇮

Meteor über Sollebrunn 2025-11-13 23:19:58 UTC

KML-Datei

Die Karte zeigt die Peilungen für den Meteor. Die helleren Linien zeigen die Richtungen von den Beobachtungsorten beim Erscheinen des Meteors, und die dunkleren Linien, wo er zuletzt gesehen wurde. Der blaue Pfeil zeigt die sichtbare Bahn des Meteors.

static map
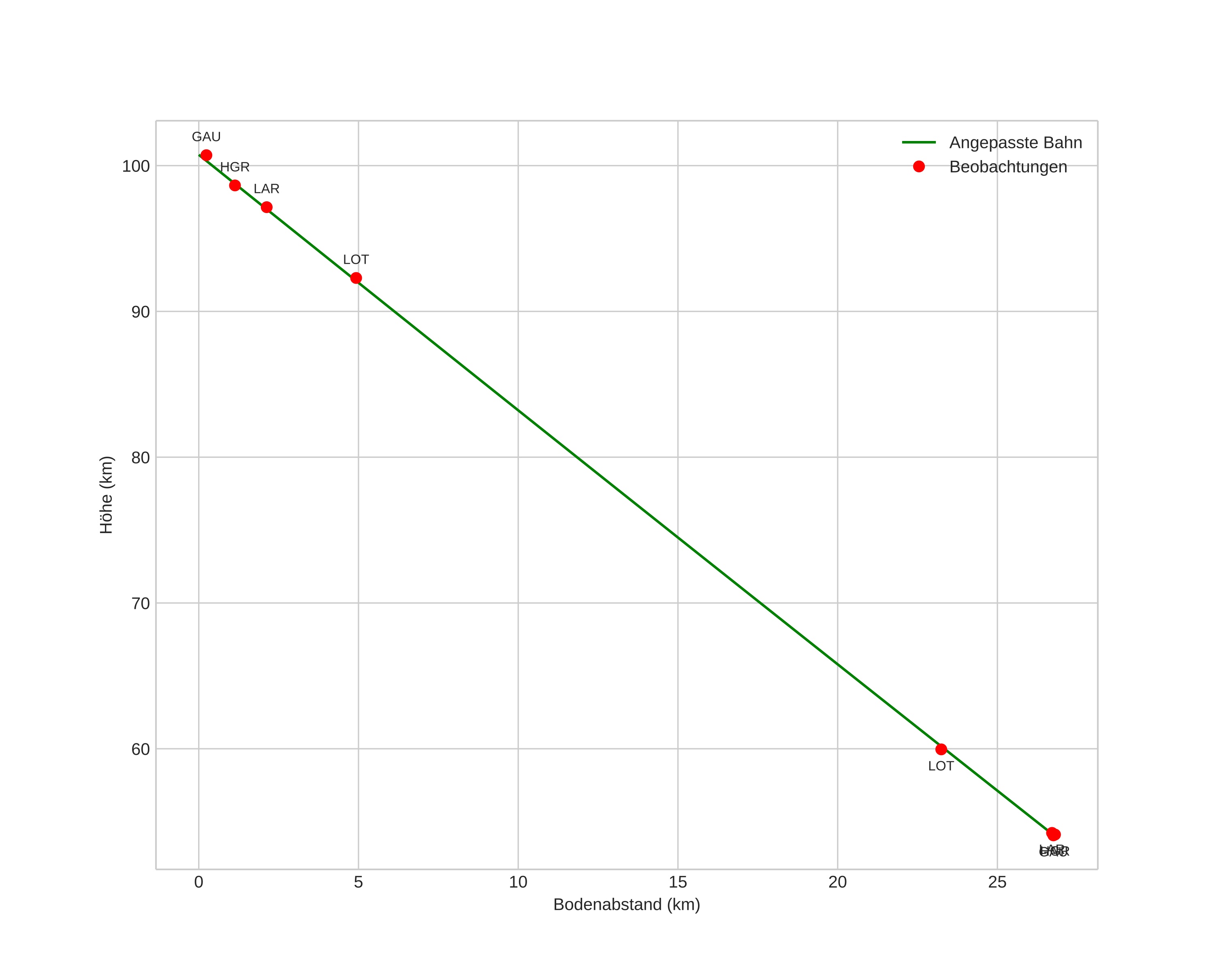
height profile
Atmosphärische Bahn des Meteors:
Anfangshöhe: 100,7 km
Endhöhe: 54,1 km
Startposition: 57,931N 12,894E
Endposition: 58,123N 12,619E
Richtung: 323,0°
Neigungswinkel: 60,1°
Eintrittsgeschwindigkeit: 46,6 km/s
Rektaszension des Radianten: 05:04 (76,1°)
Deklination des Radianten: 31,1°
Meteorstrom: sporadisch
Bahnelemente des Meteoroiden:
Periheldistanz: 0,079 AU
Exzentrizität: 0,998
Inklination: 32,5°
Länge des aufsteigenden Knotens: 231,5°
Argument des Perihels: 327,2°
Mittlere Anomalie: 359,9°
Epoche: 2025 NOV 13 23:19:58
orbit plot

Nicht-interaktives Diagramm

position vs time
speed and acceleration

Gaustatoppen (GAU) cam3


gnomonic
Videos
• Gnomonisch
• Gnomonisch mit Koordinaten
• Original
• Original (HEVC)
• Original mit Koordinaten
Bilder
• Gnomonisch
• Gnomonisch mit Koordinaten
• Original
• Original mit Koordinaten
Textdateien
• Erkennung
• Beobachtung
• Koordinaten
• Protokoll
Helligkeit

Hagar (HGR) cam4


gnomonic
Videos
• Gnomonisch
• Gnomonisch mit Koordinaten
• Original
• Original (HEVC)
• Original mit Koordinaten
Bilder
• Gnomonisch
• Gnomonisch mit Koordinaten
• Original
• Original mit Koordinaten
Textdateien
• Erkennung
• Beobachtung
• Koordinaten
• Protokoll
Helligkeit

Larvik (LAR) cam3


gnomonic
Videos
• Gnomonisch
• Gnomonisch mit Koordinaten
• Original
• Original (HEVC)
• Original mit Koordinaten
Bilder
• Gnomonisch
• Gnomonisch mit Koordinaten
• Original
• Original mit Koordinaten
Textdateien
• Erkennung
• Beobachtung
• Koordinaten
• Protokoll
Helligkeit

Loten (LOT) cam4


gnomonic
Videos
• Gnomonisch
• Gnomonisch mit Koordinaten
• Original
• Original (HEVC)
• Original mit Koordinaten
Bilder
• Gnomonisch
• Gnomonisch mit Koordinaten
• Original
• Original mit Koordinaten
Textdateien
• Erkennung
• Beobachtung
• Koordinaten
• Protokoll
Helligkeit