🇳🇴 🇬🇧 🇩🇪 🇨🇿 🇫🇮

Meteor over Stavsnäs 2025-11-14 00:38:51 UTC

KML-fil

Kartet viser peilingene for meteoren. De lysere linjene viser retningene fra observasjonsstedene for meteorens tilsynekomst, og de mørkere linjene viser hvor den sist kunne sees. Den blå pila viser meteorens synlige ferd.

static map
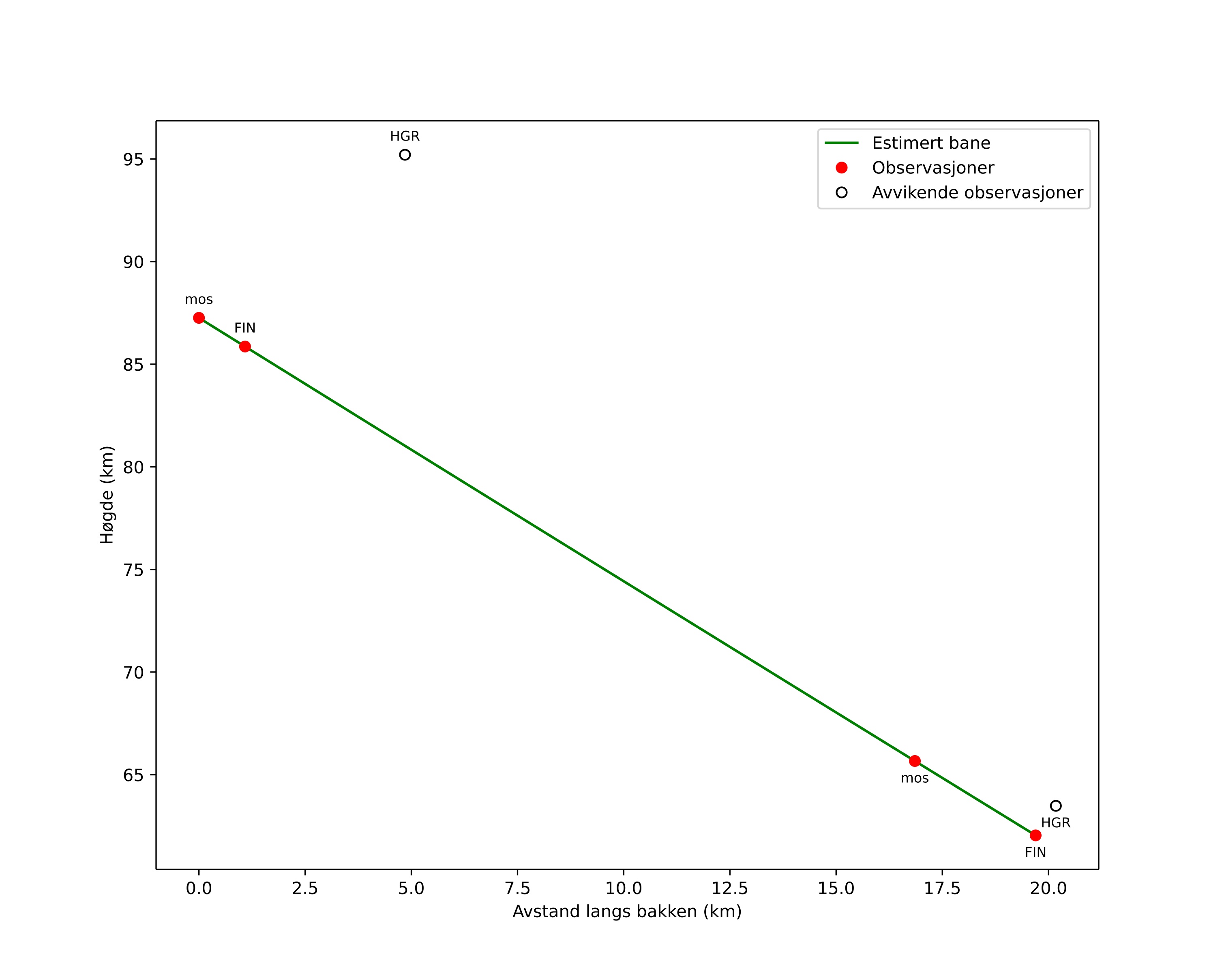
height profile
Meteorens atmosfæriske bane:
Starthøgde: 87,3 km
Slutthøgde: 62,0 km
Startposisjon: 58,983N 18,726E
Sluttposisjon: 59,114N 18,958E
Retning: 42,2°
Fallvinkel: 52,1°
Inngangshastighet: 30,8 km/s
Radiantens rektascensjon: 03:31 (53,0°)
Radiantens deklinasjon: 24,7°
Meteorsverm: Nordlige tauridene
Meteoroidens baneelement:
Perihelavstand: 0,443 AU
Eksentrisitet: 0,906
Inklinasjon: 5,6°
Knutelengde: 231,5°
Perihelargument: 279,3°
Midlere anomali: 356,1°
Epoke: 2025 NOV 14 00:38:51
orbit plot

Ikke-interaktivt plott

position vs time
speed and acceleration

Finnskogen (FIN) cam3


gnomonic
Videoer
• Gnomonisk
• Gnomonisk med koordinater
• Original
• Original (HEVC)
• Original med koordinater
Bilder
• Gnomonisk
• Gnomonisk med koordinater
• Original
• Original med koordinater
Tekstfiler
• Deteksjon
• Observasjon
• Koordinater
• Logg
Lysstyrke

Hagar (HGR) cam4


gnomonic
Videoer
• Gnomonisk
• Gnomonisk med koordinater
• Original
• Original (HEVC)
• Original med koordinater
Bilder
• Gnomonisk
• Gnomonisk med koordinater
• Original
• Original med koordinater
Tekstfiler
• Deteksjon
• Observasjon
• Koordinater
• Logg
Lysstyrke

Moss (mos) cam2


gnomonic
Videoer
• Gnomonisk
• Gnomonisk med koordinater
• Original
• Original (HEVC)
• Original med koordinater
Bilder
• Gnomonisk
• Gnomonisk med koordinater
• Original
• Original med koordinater
Tekstfiler
• Deteksjon
• Observasjon
• Koordinater
• Logg
Lysstyrke