🇳🇴 🇬🇧 🇩🇪 🇨🇿 🇫🇮

Meteor, poloha: Torsby 2025-11-14 01:22:23 UTC

Soubor KML  |  Interaktivní mapa

Mapa zobrazuje dráhy meteoru. Světlejší čáry ukazují směry od pozorovacích stanic při objevení se meteoru a tmavší čáry, kde byl naposledy viděn. Modrá šipka značí viditelnou dráhu meteoru.

static map
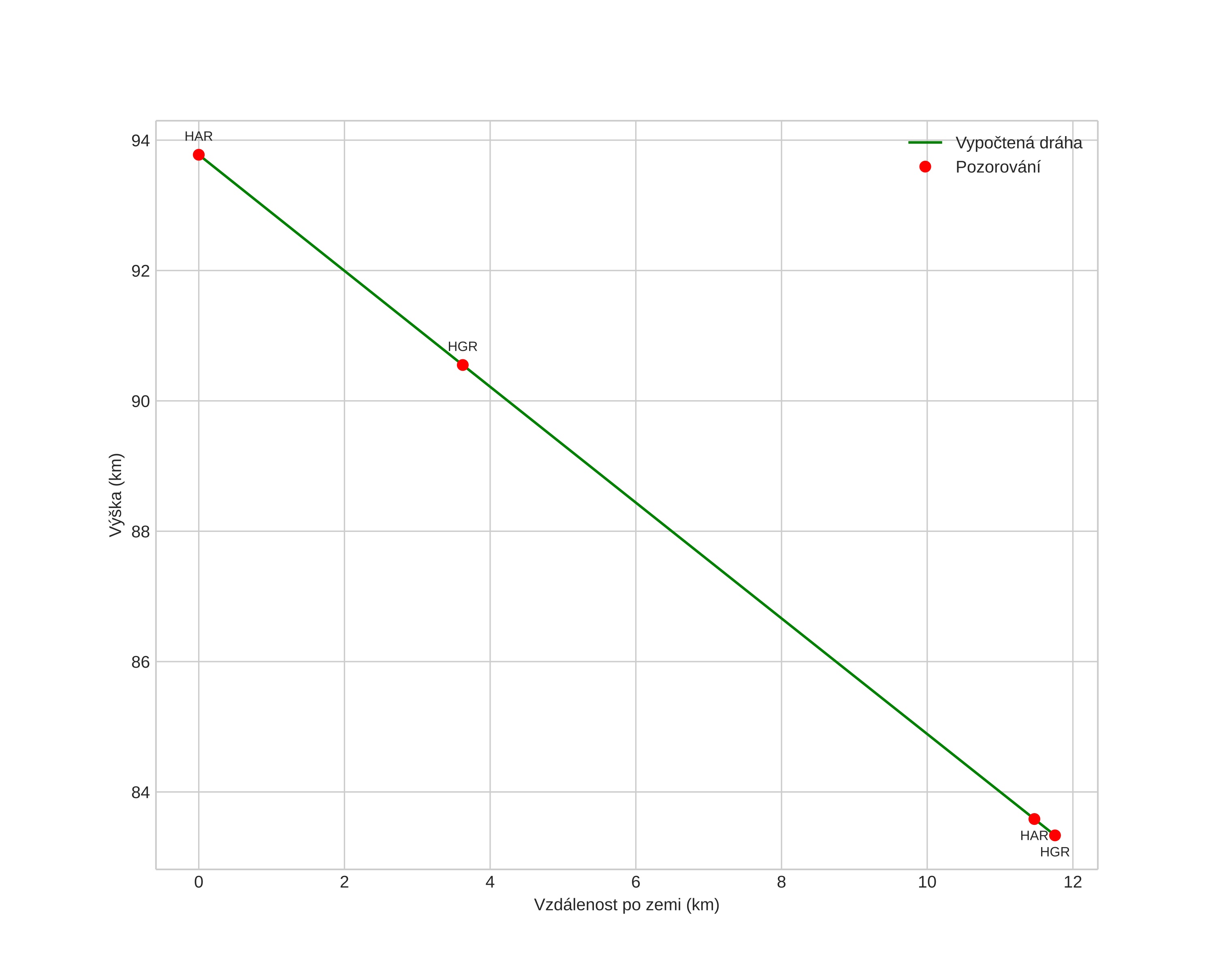
height profile
Atmosférická dráha meteoru:
Počáteční výška: 92,8 km
Konečná výška: 83,1 km
Počáteční poloha: 59,880N 12,597E
Konečná poloha: 59,956N 12,742E
Směr: 43,7°
Sklon: 39,7°
Vstupní rychlost: 26,4 km/s
Rektascenze radiantu: 03:25 (51,3°)
Deklinace radiantu: 13,2°
Meteorický roj: Jižní Tauridy
Elementy dráhy meteoroidu:
Vzdálenost v periheliu: 0,544 AU
Excentricita: 0,812
Sklon dráhy: 4,3°
Délka vzestupného uzlu: 51,6°
Argument perihelia: 90,2°
Střední anomálie: 351,4°
Epocha: 2025 NOV 14 01:22:23
orbit plot

Neinteraktivní graf | Interaktivní graf

position vs time
speed and acceleration