🇳🇴 🇬🇧 🇩🇪 🇨🇿 🇫🇮

Meteor over Sandane 2025-11-14 03:41:07 UTC

KML-fil

Kartet viser peilingene for meteoren. De lysere linjene viser retningene fra observasjonsstedene for meteorens tilsynekomst, og de mørkere linjene viser hvor den sist kunne sees. Den blå pila viser meteorens synlige ferd.

static map
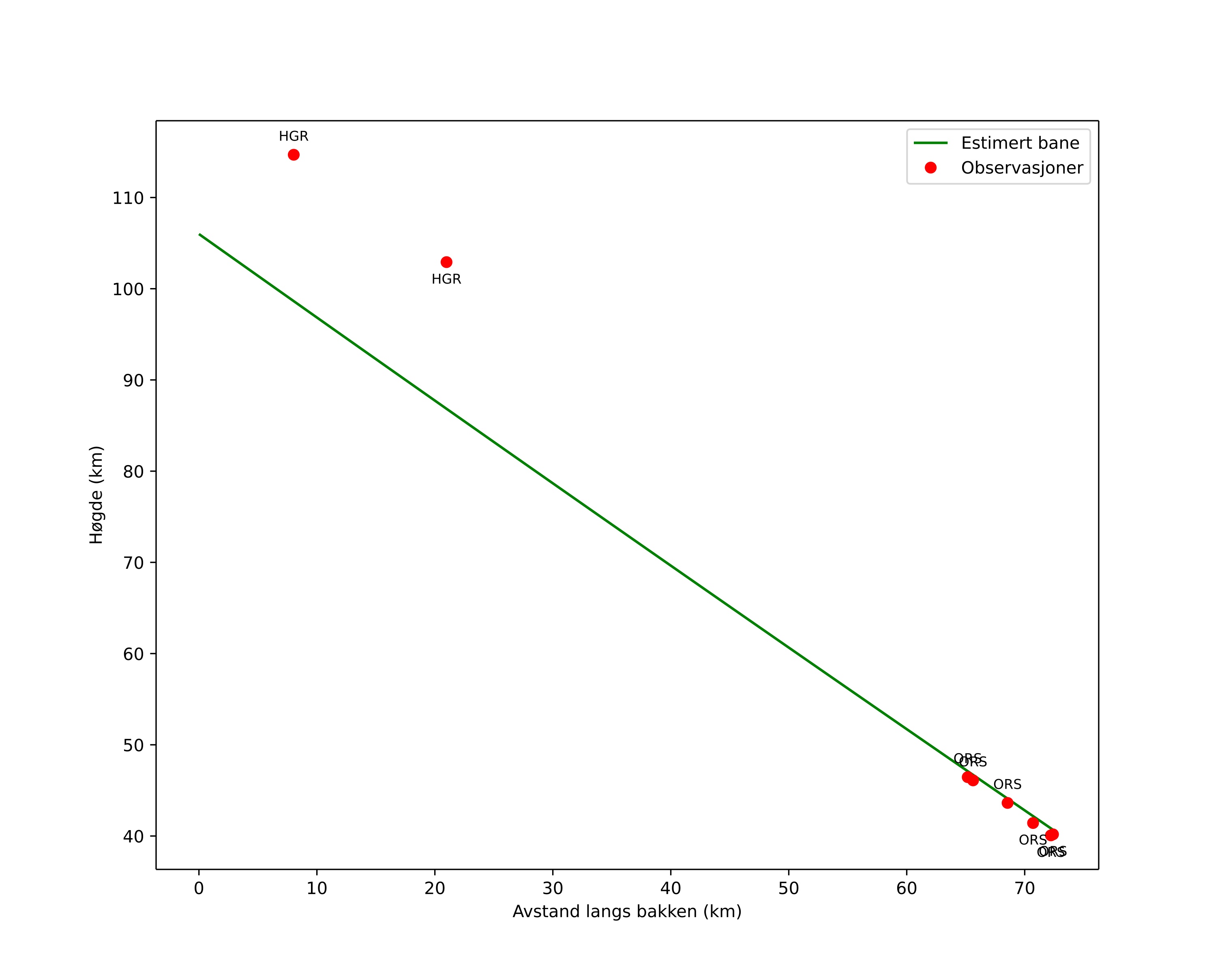
height profile
Meteorens atmosfæriske bane:
Starthøgde: 106,0 km
Slutthøgde: 40,5 km
Startposisjon: 61,475N 5,144E
Sluttposisjon: 61,799N 6,338E
Retning: 59,8°
Fallvinkel: 42,0°
Inngangshastighet: 11,1 km/s
Radiantens rektascensjon: 03:26 (51,6°)
Radiantens deklinasjon: -10,3°
Meteorsverm: sporadisk
Meteoroidens baneelement:
Perihelavstand: 0,950 AU
Eksentrisitet: 0,063
Inklinasjon: 1,4°
Knutelengde: 51,8°
Perihelargument: 71,0°
Midlere anomali: 295,6°
Epoke: 2025 NOV 14 03:41:07
orbit plot

Ikke-interaktivt plott

position vs time
speed and acceleration

Hagar (HGR) cam1


gnomonic
Videoer
• Gnomonisk
• Gnomonisk med koordinater
• Original
• Original (HEVC)
• Original med koordinater
Bilder
• Gnomonisk
• Gnomonisk med koordinater
• Original
• Original med koordinater
Tekstfiler
• Deteksjon
• Observasjon
• Koordinater
• Logg
Lysstyrke

Orsta (ORS) cam2


gnomonic
Videoer
• Gnomonisk
• Gnomonisk med koordinater
• Original
• Original med koordinater
Bilder
• Gnomonisk
• Gnomonisk med koordinater
• Original
• Original med koordinater
Tekstfiler
• Deteksjon
• Observasjon
• Koordinater
• Logg
Lysstyrke

Orsta (ORS) cam3


gnomonic
Videoer
• Gnomonisk
• Gnomonisk med koordinater
• Original
• Original med koordinater
Bilder
• Gnomonisk
• Gnomonisk med koordinater
• Original
• Original med koordinater
Tekstfiler
• Deteksjon
• Observasjon
• Koordinater
• Logg
Lysstyrke

Orsta (ORS) cam7


gnomonic
Videoer
• Gnomonisk
• Gnomonisk med koordinater
• Original
• Original med koordinater
Bilder
• Gnomonisk
• Gnomonisk med koordinater
• Original
• Original med koordinater
Tekstfiler
• Deteksjon
• Observasjon
• Koordinater
• Logg
Lysstyrke