🇳🇴 🇬🇧 🇩🇪 🇨🇿 🇫🇮

Meteor, poloha: Vikersund 2025-11-14 04:54:23 UTC

Soubor KML  |  Interaktivní mapa

Mapa zobrazuje dráhy meteoru. Světlejší čáry ukazují směry od pozorovacích stanic při objevení se meteoru a tmavší čáry, kde byl naposledy viděn. Modrá šipka značí viditelnou dráhu meteoru.

static map
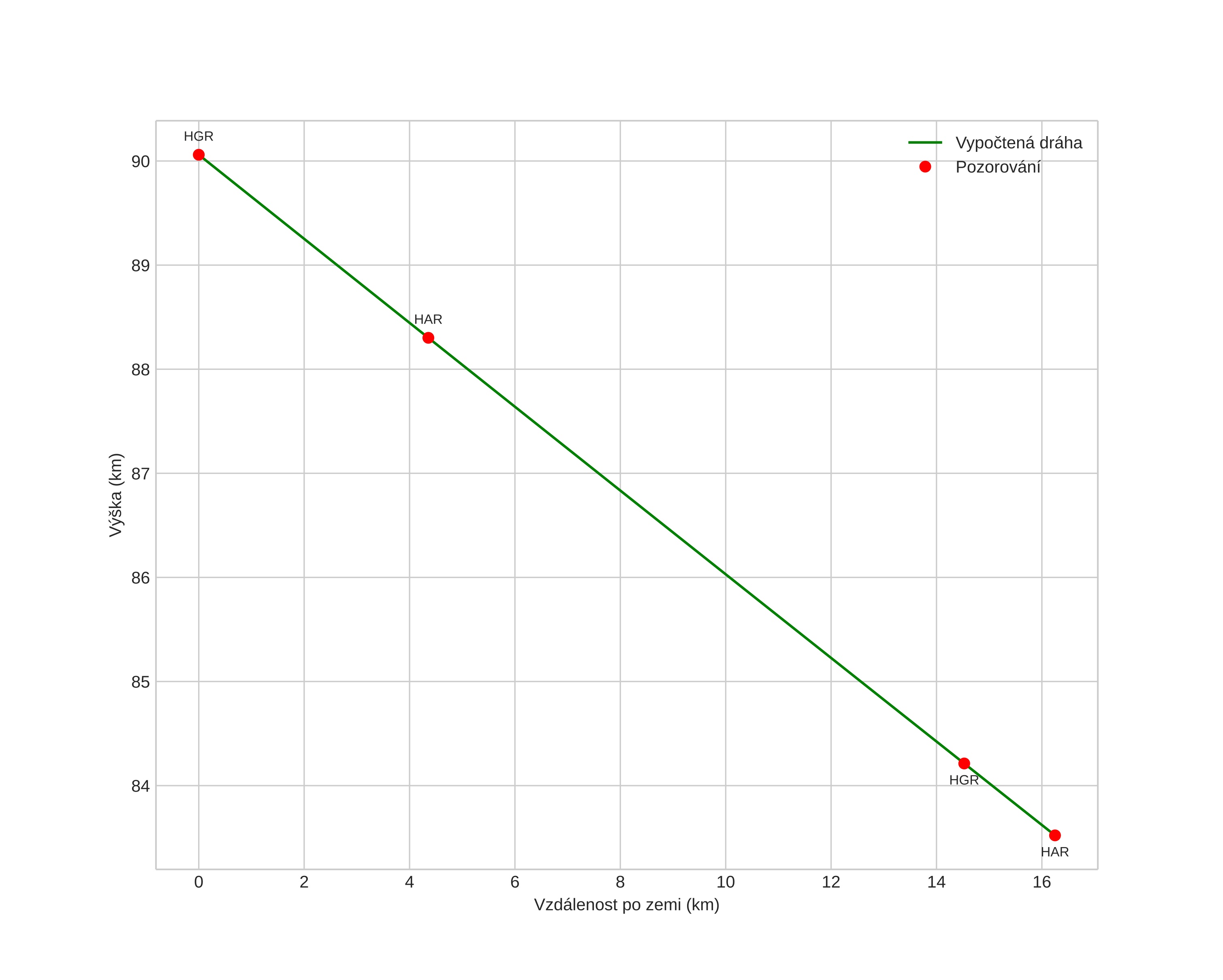
height profile
Atmosférická dráha meteoru:
Počáteční výška: 93,6 km
Konečná výška: 82,8 km
Počáteční poloha: 60,023N 9,464E
Konečná poloha: 60,035N 9,927E
Směr: 86,7°
Sklon: 22,7°
Vstupní rychlost: 29,0 km/s
Rektascenze radiantu: 03:56 (59,0°)
Deklinace radiantu: 15,2°
Meteorický roj: Jižní Tauridy
Elementy dráhy meteoroidu:
Vzdálenost v periheliu: 0,418 AU
Excentricita: 0,825
Sklon dráhy: 5,2°
Délka vzestupného uzlu: 51,7°
Argument perihelia: 106,1°
Střední anomálie: 348,5°
Epocha: 2025 NOV 14 04:54:23
orbit plot

Neinteraktivní graf | Interaktivní graf

position vs time
speed and acceleration