🇳🇴 🇬🇧 🇩🇪 🇨🇿 🇫🇮

Meteor Ørjen yllä 2025-11-14 04:58:16 UTC

KML-tiedosto

Kartta näyttää meteorin suuntahavainnot. Vaaleammat viivat näyttävät suunnat havaintoasemilta meteorin ilmestyessä, ja tummemmat viivat näyttävät, missä se viimeksi nähtiin. Sininen nuoli näyttää meteorin näkyvän lennon.

static map
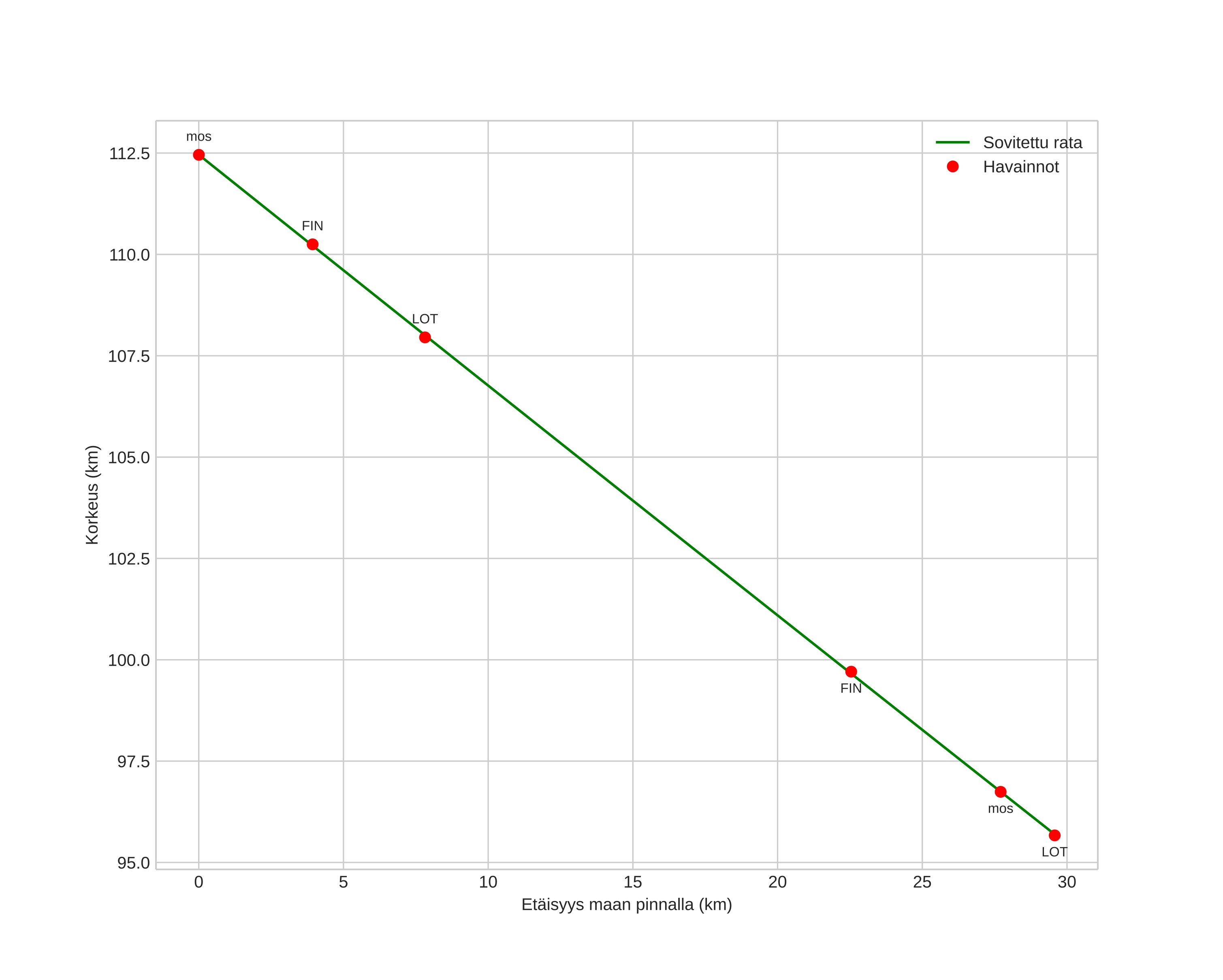
height profile
Meteorin ilmakehärata:
Alkukorkeus: 112,5 km
Loppukorkeus: 95,7 km
Alkupiste: 59,130N 11,834E
Loppupiste: 59,357N 11,565E
Suunta: 329,0°
Kallistuskulma: 29,6°
Tulonopeus: 66,6 km/s
Radiantin R,A,: 11:04 (166,1°)
Radiantin Dekl,: 2,0°
Meteoriparvi: Sporadinen
Meteoroidin rataelementit:
Perihelietäisyys: 0,512 AU
Eksentrisyys: 0,891
Inklinaatio: 172,0°
Nousevan solmun pituus: 51,7°
Perihelin argumentti: 268,6°
Keskianomalia: 3,9°
Epookki: 2025 NOV 14 04:58:16
orbit plot

Ei-interaktiivinen kuvaaja

position vs time
speed and acceleration

Finnskogen (FIN) cam4


gnomonic
Videot:
• Gnomoninen
• Gnomoninen koordinaateilla
• Alkuperäinen
• Alkuperäinen (HEVC)
• Alkuperäinen koordinaateilla
Kuvat:
• Gnomoninen
• Gnomoninen koordinaateilla
• Alkuperäinen
• Alkuperäinen koordinaateilla
Tekstitiedostot:
• Havaintoraportti
• Observaatio
• Koordinaatit
• Loki
Kirkkaus

Loten (LOT) cam4


gnomonic
Videot:
• Gnomoninen
• Gnomoninen koordinaateilla
• Alkuperäinen
• Alkuperäinen (HEVC)
• Alkuperäinen koordinaateilla
Kuvat:
• Gnomoninen
• Gnomoninen koordinaateilla
• Alkuperäinen
• Alkuperäinen koordinaateilla
Tekstitiedostot:
• Havaintoraportti
• Observaatio
• Koordinaatit
• Loki
Kirkkaus

Moss (mos) cam7


gnomonic
Videot:
• Gnomoninen
• Gnomoninen koordinaateilla
• Alkuperäinen
• Alkuperäinen (HEVC)
• Alkuperäinen koordinaateilla
Kuvat:
• Gnomoninen
• Gnomoninen koordinaateilla
• Alkuperäinen
• Alkuperäinen koordinaateilla
Tekstitiedostot:
• Havaintoraportti
• Observaatio
• Koordinaatit
• Loki
Kirkkaus