🇳🇴 🇬🇧 🇩🇪 🇨🇿 🇫🇮

Meteor Risørin yllä 2025-11-14 05:15:48 UTC

KML-tiedosto  |  Interaktiivinen kartta

Kartta näyttää meteorin suuntahavainnot. Vaaleammat viivat näyttävät suunnat havaintoasemilta meteorin ilmestyessä, ja tummemmat viivat näyttävät, missä se viimeksi nähtiin. Sininen nuoli näyttää meteorin näkyvän lennon.

static map
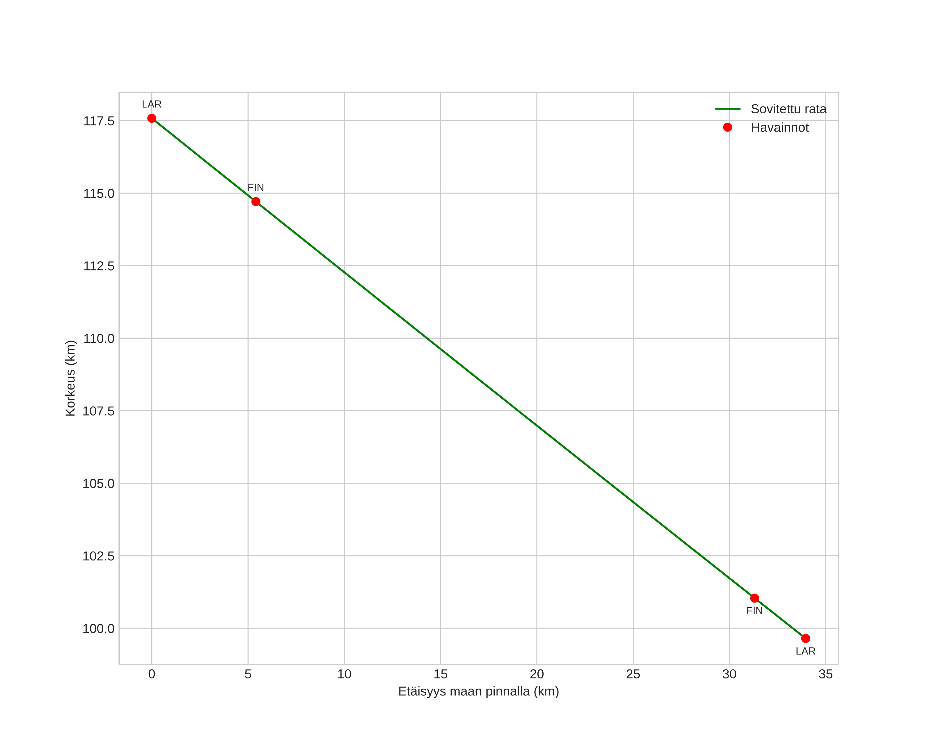
height profile
Meteorin ilmakehärata:
Alkukorkeus: 121,1 km
Loppukorkeus: 100,0 km
Alkupiste: 57,925N 9,326E
Loppupiste: 58,286N 9,323E
Suunta: 359,7°
Kallistuskulma: 27,8°
Tulonopeus: 73,0 km/s
Radiantin R,A,: 09:25 (141,5°)
Radiantin Dekl,: -4,6°
Meteoriparvi: Sporadinen
Meteoroidin rataelementit:
Perihelietäisyys: 0,982 AU
Eksentrisyys: 1,233
Inklinaatio: 148,7°
Nousevan solmun pituus: 51,7°
Perihelin argumentti: 350,6°
Keskianomalia: 0,7°
Epookki: 2025 NOV 14 05:15:48
orbit plot

Ei-interaktiivinen kuvaaja | Interaktiivinen kuvaaja

position vs time
speed and acceleration

Finnskogen (FIN) cam4


gnomonic
Videot:
• Gnomoninen
• Gnomoninen koordinaateilla
• Alkuperäinen
• Alkuperäinen koordinaateilla
Kuvat:
• Gnomoninen
• Gnomoninen koordinaateilla
• Alkuperäinen
• Alkuperäinen koordinaateilla
Tekstitiedostot:
• Havaintoraportti
• Observaatio
• Koordinaatit
• Loki
Kirkkaus

Larvik (LAR) cam7


gnomonic
Videot:
• Gnomoninen
• Gnomoninen koordinaateilla
• Alkuperäinen
• Alkuperäinen koordinaateilla
Kuvat:
• Gnomoninen
• Gnomoninen koordinaateilla
• Alkuperäinen
• Alkuperäinen koordinaateilla
Tekstitiedostot:
• Havaintoraportti
• Observaatio
• Koordinaatit
• Loki
Kirkkaus