🇳🇴 🇬🇧 🇩🇪 🇨🇿 🇫🇮

Meteor over Munkfors 2025-11-14 19:51:55 UTC

KML-fil  |  Interaktivt kart

Kartet viser peilingene for meteoren. De lysere linjene viser retningene fra observasjonsstedene for meteorens tilsynekomst, og de mørkere linjene viser hvor den sist kunne sees. Den blå pila viser meteorens synlige ferd.

static map
height profile
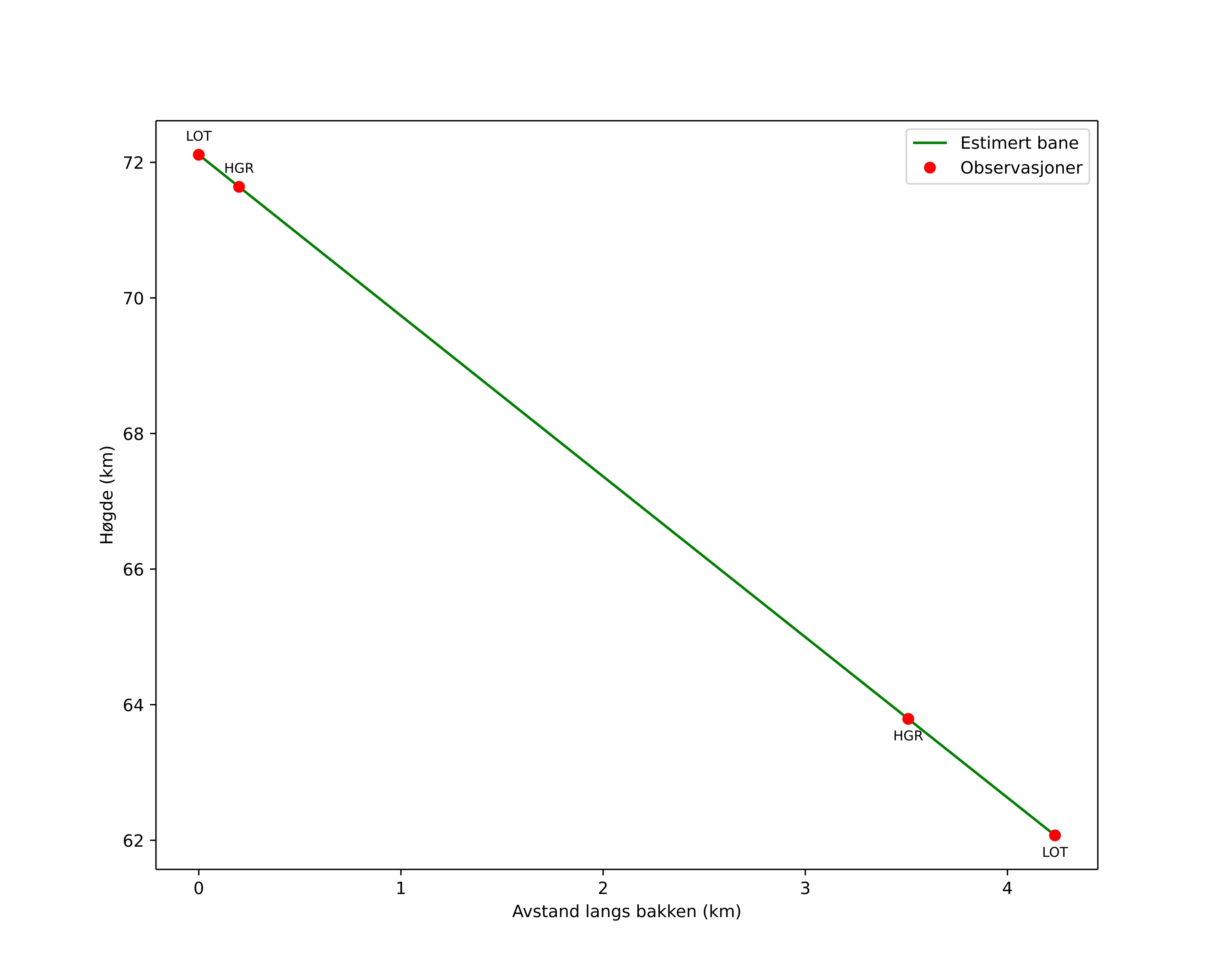
Meteorens atmosfæriske bane:
Starthøgde: 73,2 km
Slutthøgde: 63,1 km
Startposisjon: 59,903N 13,324E
Sluttposisjon: 59,930N 13,370E
Retning: 40,8°
Fallvinkel: 68,8°
Inngangshastighet: 14,0 km/s
Radiantens rektascensjon: 22:49 (342,3°)
Radiantens deklinasjon: 36,8°
Meteorsverm: sporadisk
Meteoroidens baneelement:
Perihelavstand: 0,965 AU
Eksentrisitet: 0,451
Inklinasjon: 8,9°
Knutelengde: 232,3°
Perihelargument: 203,1°
Midlere anomali: 352,1°
Epoke: 2025 NOV 14 19:51:55
orbit plot

Ikke-interaktivt plott | Interaktivt plott

position vs time
speed and acceleration

Hagar (HGR) cam3


gnomonic
Videoer
• Gnomonisk
• Gnomonisk med koordinater
• Original
• Original med koordinater
Bilder
• Gnomonisk
• Gnomonisk med koordinater
• Original
• Original med koordinater
Tekstfiler
• Deteksjon
• Observasjon
• Koordinater
• Logg
Lysstyrke

Loten (LOT) cam3


gnomonic
Videoer
• Gnomonisk
• Gnomonisk med koordinater
• Original
• Original med koordinater
Bilder
• Gnomonisk
• Gnomonisk med koordinater
• Original
• Original med koordinater
Tekstfiler
• Deteksjon
• Observasjon
• Koordinater
• Logg
Lysstyrke