🇳🇴 🇬🇧 🇩🇪 🇨🇿 🇫🇮

Meteor, poloha: Rjukan 2025-11-14 19:59:07 UTC

Soubor KML  |  Interaktivní mapa

Mapa zobrazuje dráhy meteoru. Světlejší čáry ukazují směry od pozorovacích stanic při objevení se meteoru a tmavší čáry, kde byl naposledy viděn. Modrá šipka značí viditelnou dráhu meteoru.

static map
height profile
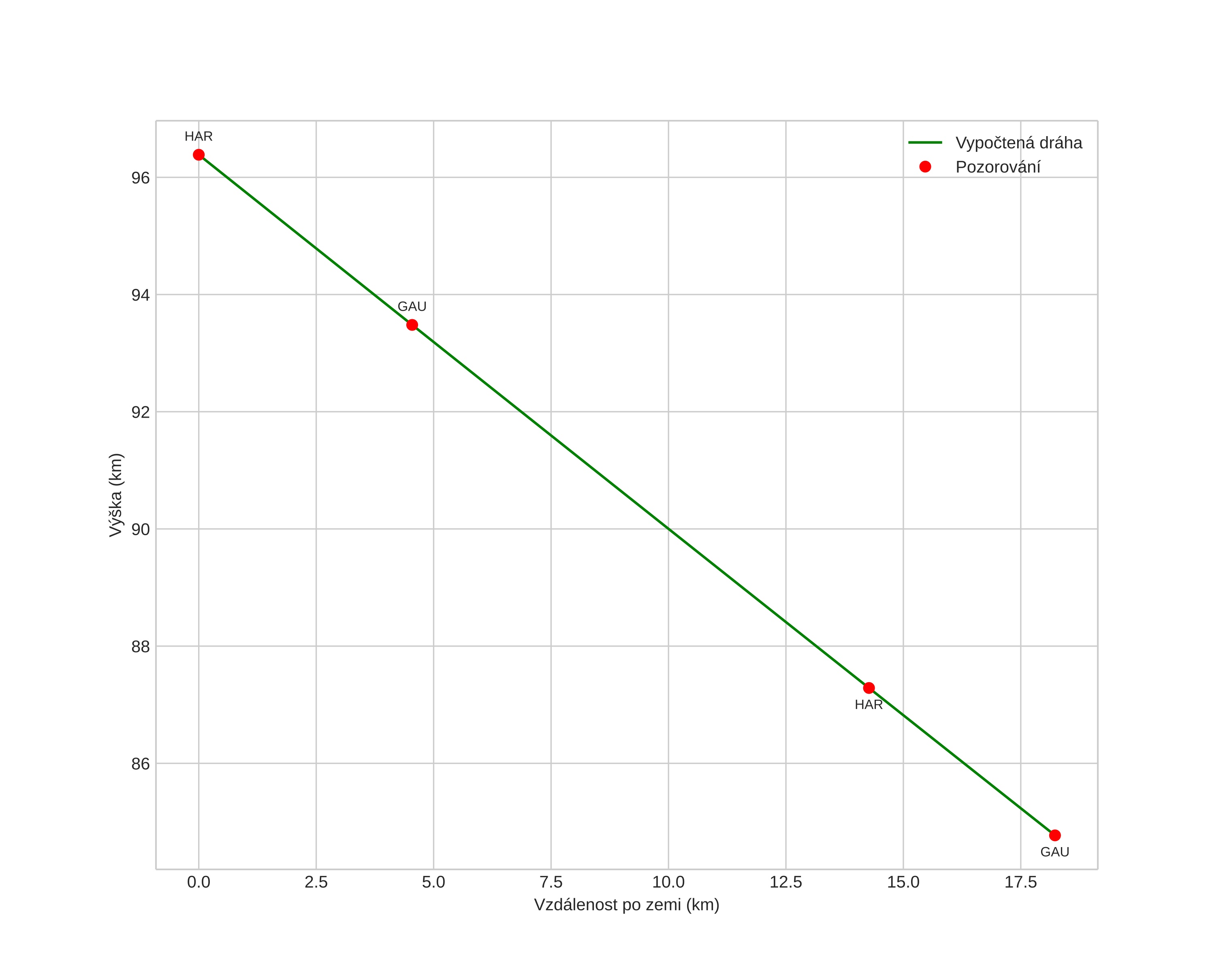
Atmosférická dráha meteoru:
Počáteční výška: 96,5 km
Konečná výška: 84,8 km
Počáteční poloha: 60,021N 8,683E
Konečná poloha: 60,083N 8,374E
Směr: 292,2°
Sklon: 32,4°
Vstupní rychlost: 27,9 km/s
Rektascenze radiantu: 03:53 (58,4°)
Deklinace radiantu: 15,3°
Meteorický roj: Jižní Tauridy
Elementy dráhy meteoroidu:
Vzdálenost v periheliu: 0,450 AU
Excentricita: 0,790
Sklon dráhy: 4,5°
Délka vzestupného uzlu: 52,4°
Argument perihelia: 103,5°
Střední anomálie: 346,1°
Epocha: 2025 NOV 14 19:59:07
orbit plot

Neinteraktivní graf | Interaktivní graf

position vs time
speed and acceleration