🇳🇴 🇬🇧 🇩🇪 🇨🇿 🇫🇮

Meteor over Stange 2025-11-14 23:12:51 UTC

KML-fil

Kartet viser peilingene for meteoren. De lysere linjene viser retningene fra observasjonsstedene for meteorens tilsynekomst, og de mørkere linjene viser hvor den sist kunne sees. Den blå pila viser meteorens synlige ferd.

static map
height profile
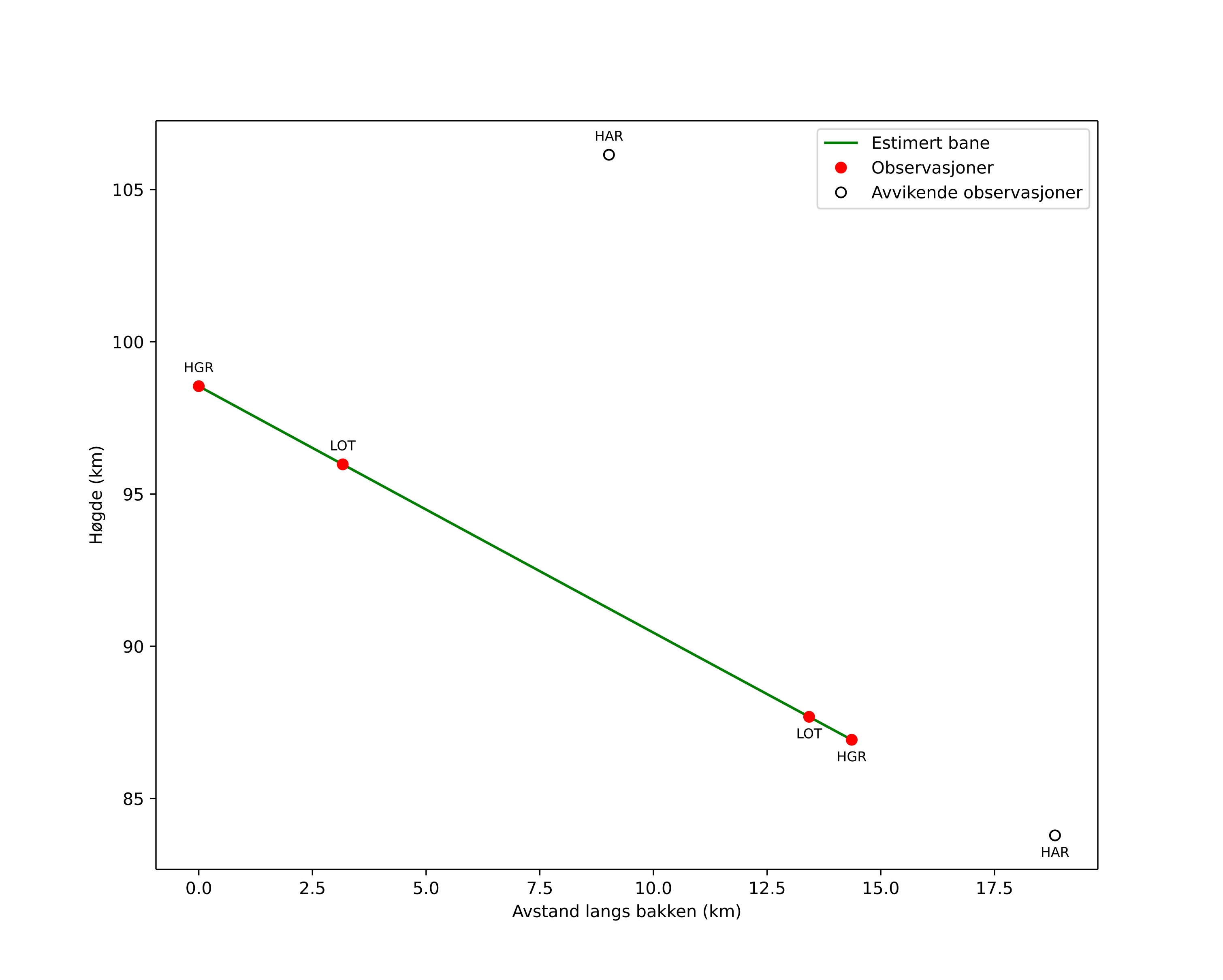
Meteorens atmosfæriske bane:
Starthøgde: 98,5 km
Slutthøgde: 86,9 km
Startposisjon: 60,708N 11,211E
Sluttposisjon: 60,584N 11,137E
Retning: 196,3°
Fallvinkel: 38,9°
Inngangshastighet: 48,3 km/s
Radiantens rektascensjon: 13:28 (202,0°)
Radiantens deklinasjon: 65,6°
Meteorsverm: sporadisk
Meteoroidens baneelement:
Perihelavstand: 0,986 AU
Eksentrisitet: 1,086
Inklinasjon: 77,2°
Knutelengde: 232,5°
Perihelargument: 173,9°
Midlere anomali: 0,1°
Epoke: 2025 NOV 14 23:12:51
orbit plot

Ikke-interaktivt plott

position vs time
speed and acceleration

Hagar (HGR) cam7


gnomonic
Videoer
• Gnomonisk
• Gnomonisk med koordinater
• Original
• Original (HEVC)
• Original med koordinater
Bilder
• Gnomonisk
• Gnomonisk med koordinater
• Original
• Original med koordinater
Tekstfiler
• Deteksjon
• Observasjon
• Koordinater
• Logg
Lysstyrke

Harestua (HAR) cam6


gnomonic
Videoer
• Gnomonisk
• Gnomonisk med koordinater
• Original
• Original (HEVC)
• Original med koordinater
Bilder
• Gnomonisk
• Gnomonisk med koordinater
• Original
• Original med koordinater
Tekstfiler
• Deteksjon
• Observasjon
• Koordinater
• Logg
Lysstyrke

Loten (LOT) cam7


gnomonic
Videoer
• Gnomonisk
• Gnomonisk med koordinater
• Original
• Original (HEVC)
• Original med koordinater
Bilder
• Gnomonisk
• Gnomonisk med koordinater
• Original
• Original med koordinater
Tekstfiler
• Deteksjon
• Observasjon
• Koordinater
• Logg
Lysstyrke