🇳🇴 🇬🇧 🇩🇪 🇨🇿 🇫🇮

Meteor over Ekshärad 2025-11-14 23:26:27 UTC

KML-fil  |  Interaktivt kart

Kartet viser peilingene for meteoren. De lysere linjene viser retningene fra observasjonsstedene for meteorens tilsynekomst, og de mørkere linjene viser hvor den sist kunne sees. Den blå pila viser meteorens synlige ferd.

static map
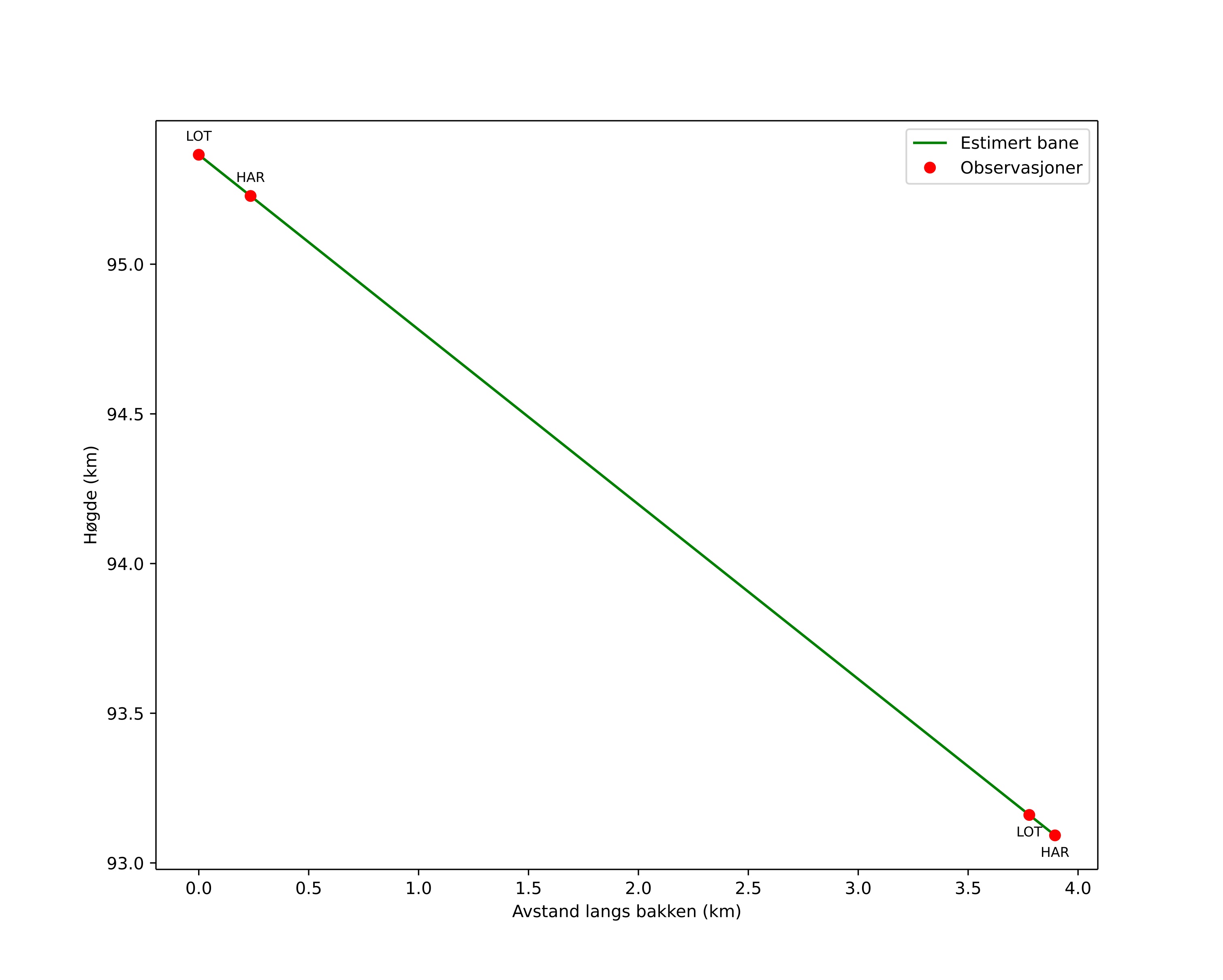
height profile
Meteorens atmosfæriske bane:
Starthøgde: 95,3 km
Slutthøgde: 90,9 km
Startposisjon: 60,225N 13,300E
Sluttposisjon: 60,158N 13,332E
Retning: 167,0°
Fallvinkel: 29,6°
Inngangshastighet: 19,9 km/s
Radiantens rektascensjon: 17:18 (259,7°)
Radiantens deklinasjon: 52,0°
Meteorsverm: sporadisk
Meteoroidens baneelement:
Perihelavstand: 0,967 AU
Eksentrisitet: 0,395
Inklinasjon: 27,2°
Knutelengde: 232,5°
Perihelargument: 157,2°
Midlere anomali: 9,2°
Epoke: 2025 NOV 14 23:26:27
orbit plot

Ikke-interaktivt plott | Interaktivt plott

position vs time
speed and acceleration

Harestua (HAR) cam2


gnomonic
Videoer
• Gnomonisk
• Gnomonisk med koordinater
• Original
• Original med koordinater
Bilder
• Gnomonisk
• Gnomonisk med koordinater
• Original
• Original med koordinater
Tekstfiler
• Deteksjon
• Observasjon
• Koordinater
• Logg
Lysstyrke

Loten (LOT) cam3


gnomonic
Videoer
• Gnomonisk
• Gnomonisk med koordinater
• Original
• Original med koordinater
Bilder
• Gnomonisk
• Gnomonisk med koordinater
• Original
• Original med koordinater
Tekstfiler
• Deteksjon
• Observasjon
• Koordinater
• Logg
Lysstyrke