🇳🇴 🇬🇧 🇩🇪 🇨🇿 🇫🇮

Meteor, poloha: Innbygda 2025-11-14 23:40:38 UTC

Soubor KML  |  Interaktivní mapa

Mapa zobrazuje dráhy meteoru. Světlejší čáry ukazují směry od pozorovacích stanic při objevení se meteoru a tmavší čáry, kde byl naposledy viděn. Modrá šipka značí viditelnou dráhu meteoru.

static map
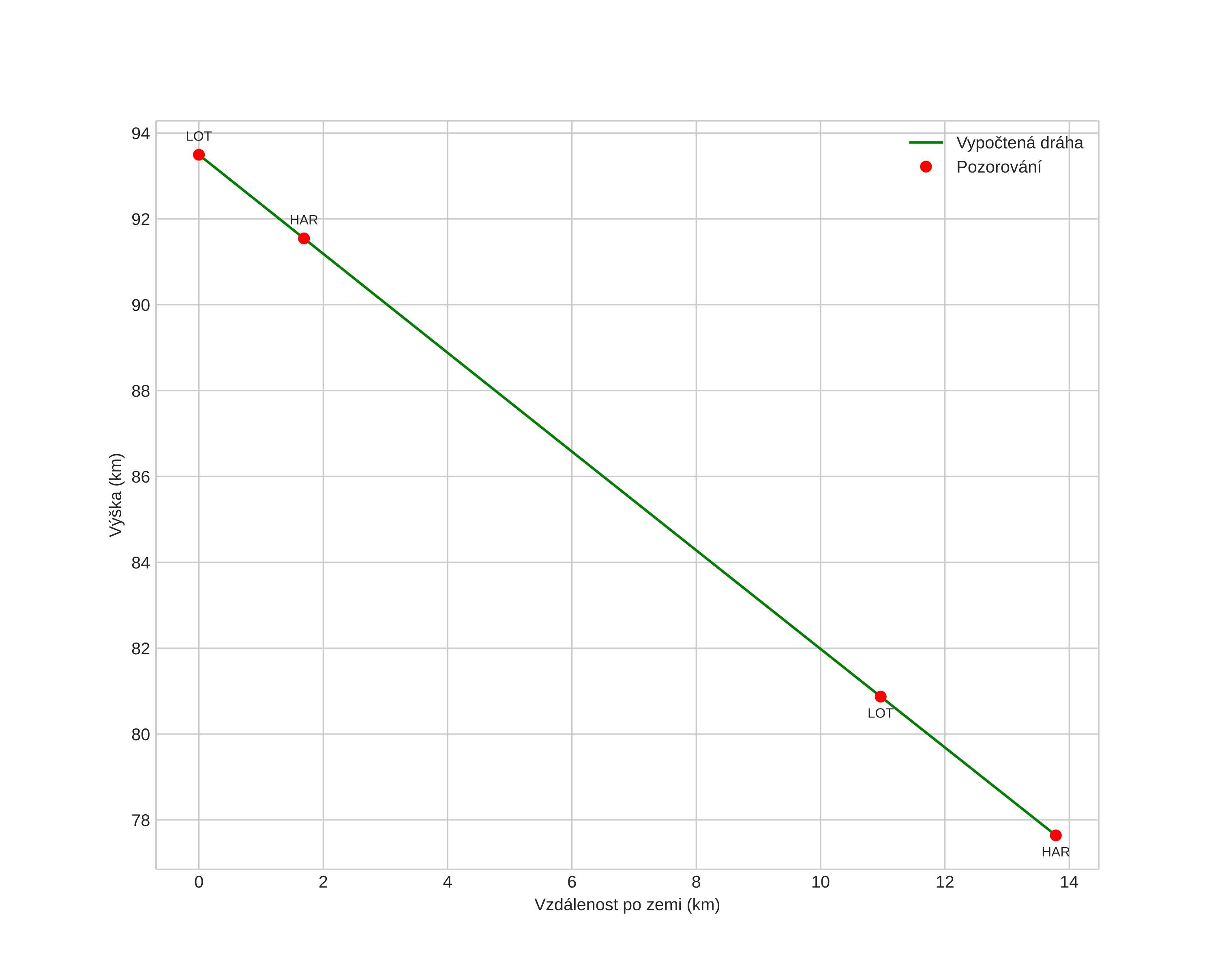
height profile
Atmosférická dráha meteoru:
Počáteční výška: 93,5 km
Konečná výška: 77,6 km
Počáteční poloha: 61,211N 12,384E
Konečná poloha: 61,334N 12,393E
Směr: 2,0°
Sklon: 49,1°
Vstupní rychlost: 26,8 km/s
Rektascenze radiantu: 03:57 (59,4°)
Deklinace radiantu: 18,1°
Meteorický roj: Jižní Tauridy
Elementy dráhy meteoroidu:
Vzdálenost v periheliu: 0,441 AU
Excentricita: 0,755
Sklon dráhy: 2,1°
Délka vzestupného uzlu: 52,6°
Argument perihelia: 106,7°
Střední anomálie: 341,3°
Epocha: 2025 NOV 14 23:40:38
orbit plot

Neinteraktivní graf | Interaktivní graf

position vs time
speed and acceleration