🇳🇴 🇬🇧 🇩🇪 🇨🇿 🇫🇮

Meteor Svenljungan yllä 2025-11-14 23:40:51 UTC

KML-tiedosto  |  Interaktiivinen kartta

Kartta näyttää meteorin suuntahavainnot. Vaaleammat viivat näyttävät suunnat havaintoasemilta meteorin ilmestyessä, ja tummemmat viivat näyttävät, missä se viimeksi nähtiin. Sininen nuoli näyttää meteorin näkyvän lennon.

static map
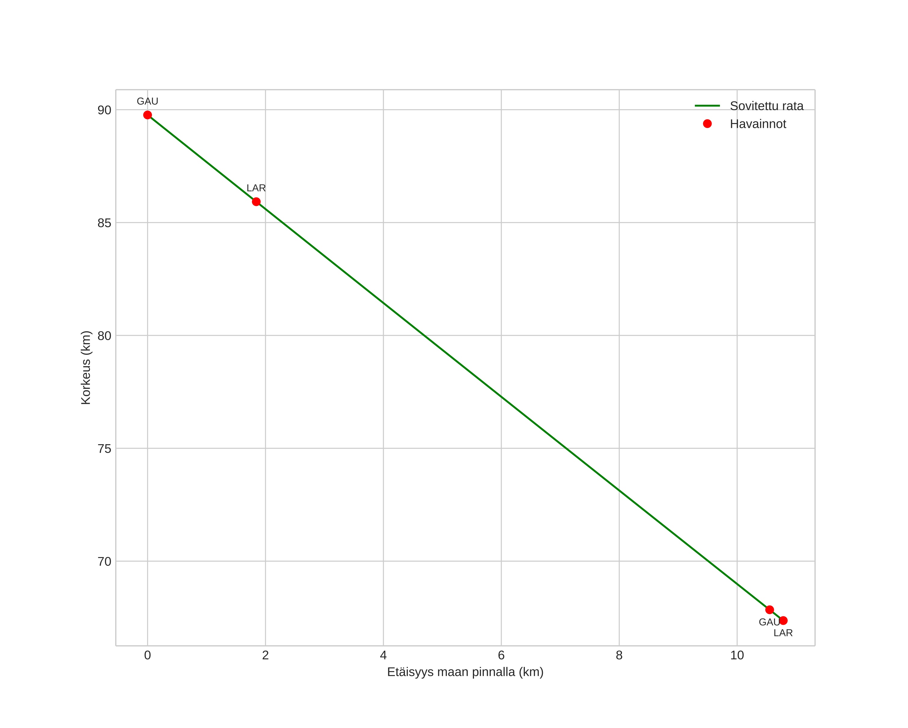
height profile
Meteorin ilmakehärata:
Alkukorkeus: 87,5 km
Loppukorkeus: 68,9 km
Alkupiste: 57,352N 12,688E
Loppupiste: 57,271N 13,053E
Suunta: 112,2°
Kallistuskulma: 38,1°
Tulonopeus: 26,2 km/s
Radiantin R,A,: 22:23 (336,0°)
Radiantin Dekl,: 40,3°
Meteoriparvi: Sporadinen
Meteoroidin rataelementit:
Perihelietäisyys: 0,954 AU
Eksentrisyys: 1,557
Inklinaatio: 21,4°
Nousevan solmun pituus: 232,5°
Perihelin argumentti: 199,7°
Keskianomalia: -5,2°
Epookki: 2025 NOV 14 23:40:51
orbit plot

Ei-interaktiivinen kuvaaja | Interaktiivinen kuvaaja

position vs time
speed and acceleration

Gaustatoppen (GAU) cam3


gnomonic
Videot:
• Gnomoninen
• Gnomoninen koordinaateilla
• Alkuperäinen
• Alkuperäinen koordinaateilla
Kuvat:
• Gnomoninen
• Gnomoninen koordinaateilla
• Alkuperäinen
• Alkuperäinen koordinaateilla
Tekstitiedostot:
• Havaintoraportti
• Observaatio
• Koordinaatit
• Loki
Kirkkaus

Larvik (LAR) cam3


gnomonic
Videot:
• Gnomoninen
• Gnomoninen koordinaateilla
• Alkuperäinen
• Alkuperäinen koordinaateilla
Kuvat:
• Gnomoninen
• Gnomoninen koordinaateilla
• Alkuperäinen
• Alkuperäinen koordinaateilla
Tekstitiedostot:
• Havaintoraportti
• Observaatio
• Koordinaatit
• Loki
Kirkkaus