🇳🇴 🇬🇧 🇩🇪 🇨🇿 🇫🇮

Meteor over Älvdalen 2025-11-15 01:12:50 UTC

KML file

The map shows the bearings for the meteor. The lighter lines show the directions from the observation sites at the meteor's appearance, and the darker lines show where it was last seen. The blue arrow indicates the visible path of the meteor.

static map
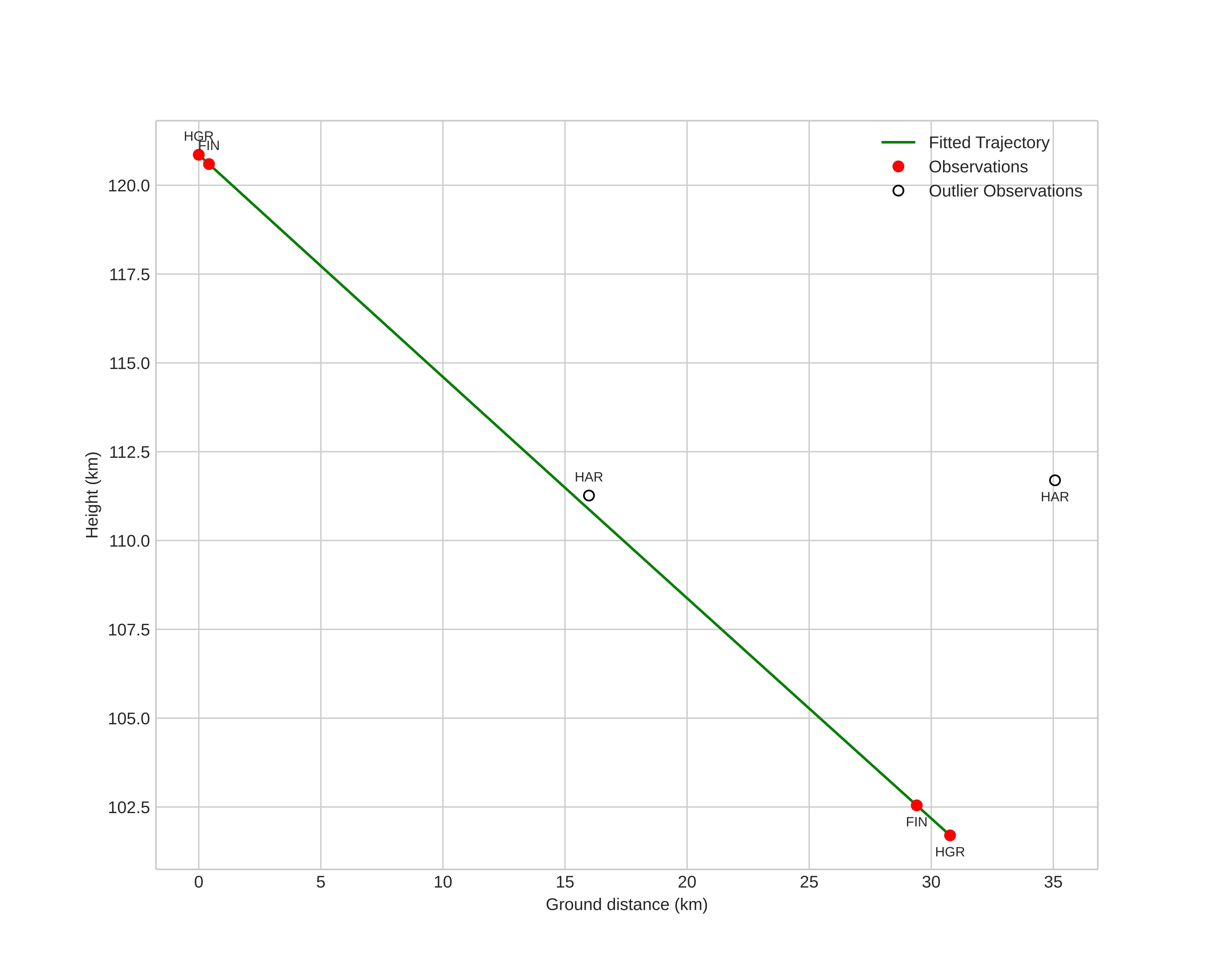
height profile
Meteor's Atmospheric Trajectory:
Start height: 120.9 km
End height: 101.7 km
Start position: 61.149N 14.427E
End position: 61.199N 13.863E
Direction: 280.8°
Inclination angle: 32.0°
Entry speed: 70.8 km/s
Radiant R.A.: 10:05 (151.3°)
Radiant Dec.: 22.6°
Meteor Shower: Leonids
Meteoroid's Orbital Elements:
Perihelion distance: 0.983 AU
Eccentricity: 0.824
Inclination: 162.3°
Long. of Asc. Node: 232.6°
Argument of Perihelion: 170.6°
Mean Anomaly: 0.5°
Epoch: 2025 NOV 15 01:12:50
orbit plot

Non-interactive plot

position vs time
speed and acceleration

Finnskogen (FIN) cam6


gnomonic
Videos
• Gnomonic
• Gnomonic with coordinates
• Original
• Original (HEVC)
• Original with coordinates
Images
• Gnomonic
• Gnomonic with coordinates
• Original
• Original with coordinates
Text Files
• Detection
• Observation
• Coordinates
• Log
Brightness

Hagar (HGR) cam3


gnomonic
Videos
• Gnomonic
• Gnomonic with coordinates
• Original
• Original (HEVC)
• Original with coordinates
Images
• Gnomonic
• Gnomonic with coordinates
• Original
• Original with coordinates
Text Files
• Detection
• Observation
• Coordinates
• Log
Brightness

Harestua (HAR) cam2


gnomonic
Videos
• Gnomonic
• Gnomonic with coordinates
• Original
• Original (HEVC)
• Original with coordinates
Images
• Gnomonic
• Gnomonic with coordinates
• Original
• Original with coordinates
Text Files
• Detection
• Observation
• Coordinates
• Log
Brightness