🇳🇴 🇬🇧 🇩🇪 🇨🇿 🇫🇮

Meteor Ølenin yllä 2025-11-15 01:22:34 UTC

KML-tiedosto

Kartta näyttää meteorin suuntahavainnot. Vaaleammat viivat näyttävät suunnat havaintoasemilta meteorin ilmestyessä, ja tummemmat viivat näyttävät, missä se viimeksi nähtiin. Sininen nuoli näyttää meteorin näkyvän lennon.

static map
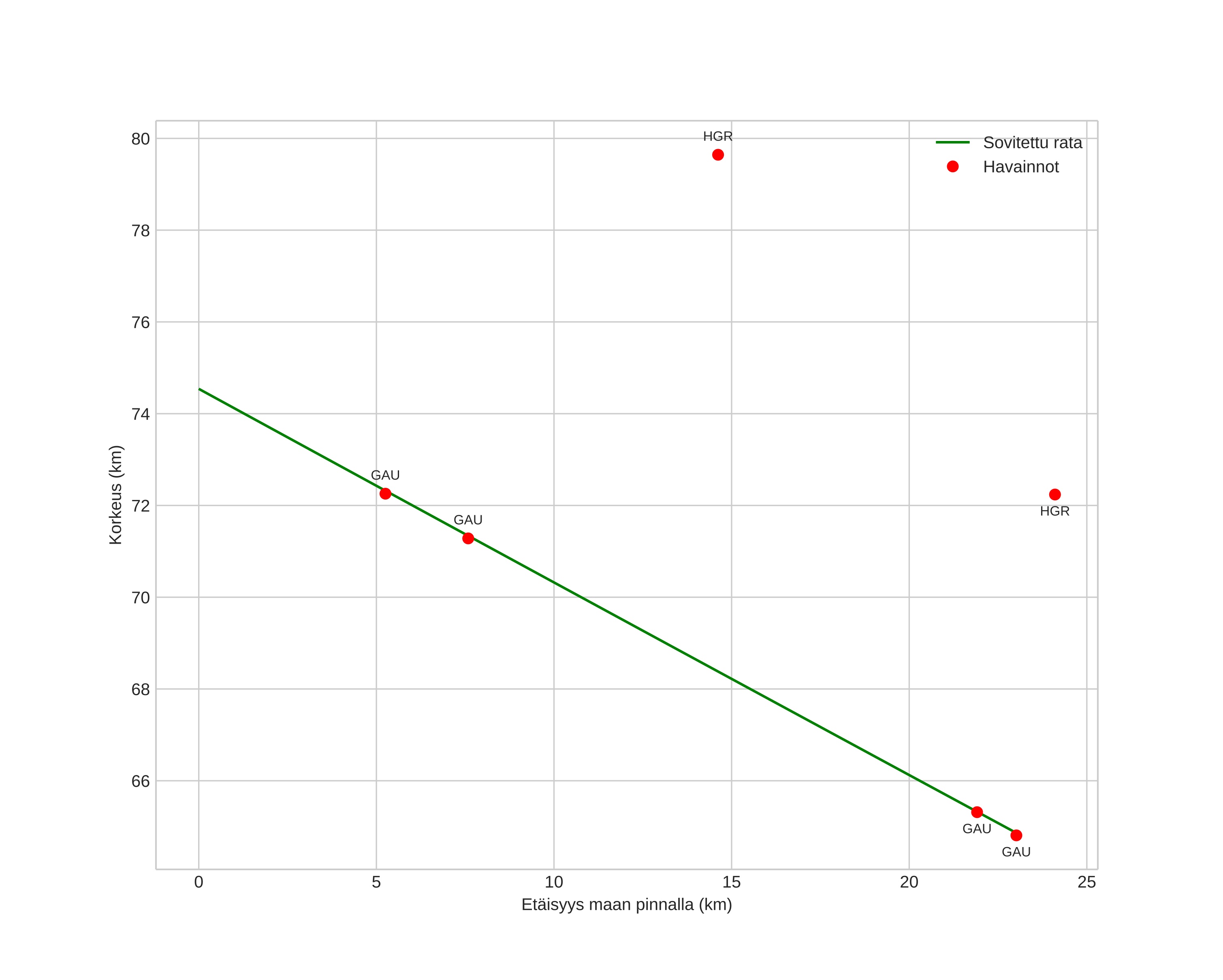
height profile
Meteorin ilmakehärata:
Alkukorkeus: 74,5 km
Loppukorkeus: 64,9 km
Alkupiste: 59,495N 6,155E
Loppupiste: 59,455N 5,755E
Suunta: 258,9°
Kallistuskulma: 22,6°
Tulonopeus: 52,0 km/s
Radiantin R,A,: 11:14 (168,5°)
Radiantin Dekl,: 24,4°
Meteoriparvi: Sporadinen
Meteoroidin rataelementit:
Perihelietäisyys: 0,346 AU
Eksentrisyys: 0,566
Inklinaatio: 135,6°
Nousevan solmun pituus: 232,6°
Perihelin argumentti: 37,0°
Keskianomalia: 85,7°
Epookki: 2025 NOV 15 01:22:34
orbit plot

Ei-interaktiivinen kuvaaja

position vs time
speed and acceleration

Gaustatoppen (GAU) cam4


gnomonic
Videot:
• Gnomoninen
• Gnomoninen koordinaateilla
• Alkuperäinen
• Alkuperäinen (HEVC)
• Alkuperäinen koordinaateilla
Kuvat:
• Gnomoninen
• Gnomoninen koordinaateilla
• Alkuperäinen
• Alkuperäinen koordinaateilla
Tekstitiedostot:
• Havaintoraportti
• Observaatio
• Koordinaatit
• Loki
Kirkkaus

Gaustatoppen (GAU) cam5


gnomonic
Videot:
• Gnomoninen
• Gnomoninen koordinaateilla
• Alkuperäinen
• Alkuperäinen (HEVC)
• Alkuperäinen koordinaateilla
Kuvat:
• Gnomoninen
• Gnomoninen koordinaateilla
• Alkuperäinen
• Alkuperäinen koordinaateilla
Tekstitiedostot:
• Havaintoraportti
• Observaatio
• Koordinaatit
• Loki
Kirkkaus

Hagar (HGR) cam5


gnomonic
Videot:
• Gnomoninen
• Gnomoninen koordinaateilla
• Alkuperäinen
• Alkuperäinen (HEVC)
• Alkuperäinen koordinaateilla
Kuvat:
• Gnomoninen
• Gnomoninen koordinaateilla
• Alkuperäinen
• Alkuperäinen koordinaateilla
Tekstitiedostot:
• Havaintoraportti
• Observaatio
• Koordinaatit
• Loki
Kirkkaus