🇳🇴 🇬🇧 🇩🇪 🇨🇿 🇫🇮

Meteor, poloha: Lervik 2025-11-15 02:21:29 UTC

Soubor KML  |  Interaktivní mapa

Mapa zobrazuje dráhy meteoru. Světlejší čáry ukazují směry od pozorovacích stanic při objevení se meteoru a tmavší čáry, kde byl naposledy viděn. Modrá šipka značí viditelnou dráhu meteoru.

static map
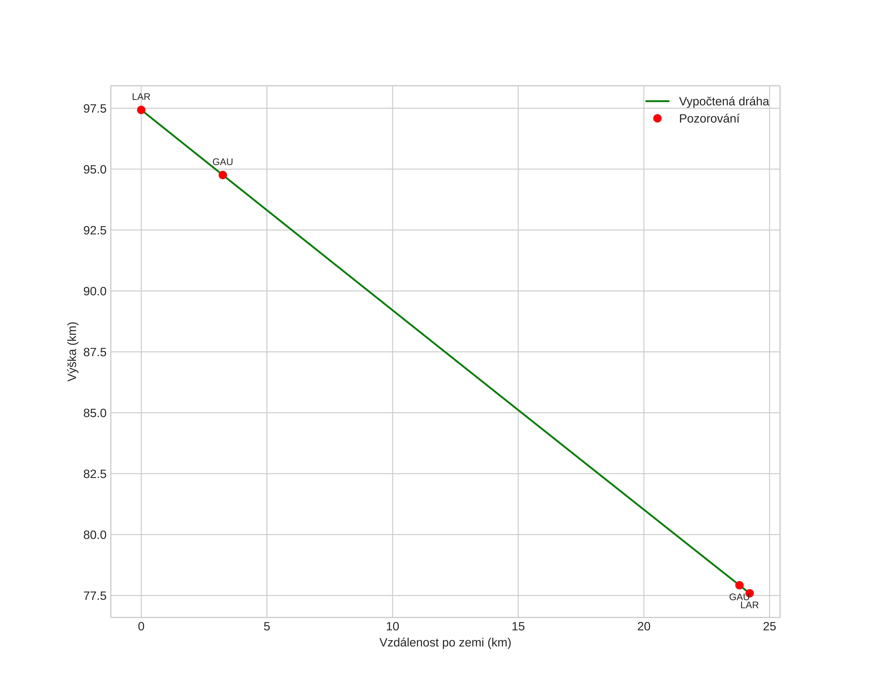
height profile
Atmosférická dráha meteoru:
Počáteční výška: 94,5 km
Konečná výška: 77,5 km
Počáteční poloha: 58,917N 10,430E
Konečná poloha: 59,034N 10,720E
Směr: 51,8°
Sklon: 38,8°
Vstupní rychlost: 27,5 km/s
Rektascenze radiantu: 03:54 (58,6°)
Deklinace radiantu: 14,3°
Meteorický roj: Jižní Tauridy
Elementy dráhy meteoroidu:
Vzdálenost v periheliu: 0,456 AU
Excentricita: 0,788
Sklon dráhy: 5,5°
Délka vzestupného uzlu: 52,6°
Argument perihelia: 102,8°
Střední anomálie: 346,2°
Epocha: 2025 NOV 15 02:21:29
orbit plot

Neinteraktivní graf | Interaktivní graf

position vs time
speed and acceleration