🇳🇴 🇬🇧 🇩🇪 🇨🇿 🇫🇮

Meteor over Treungen 2025-11-15 02:29:06 UTC

KML-fil

Kartet viser peilingene for meteoren. De lysere linjene viser retningene fra observasjonsstedene for meteorens tilsynekomst, og de mørkere linjene viser hvor den sist kunne sees. Den blå pila viser meteorens synlige ferd.

static map
height profile
wind profile
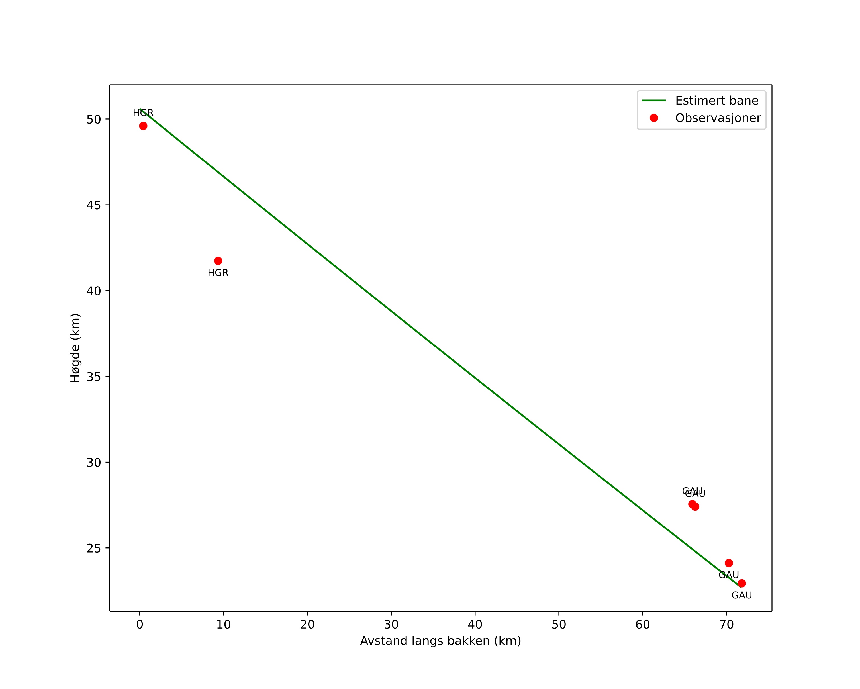
Meteorens atmosfæriske bane:
Starthøgde: 50,6 km
Slutthøgde: 22,7 km
Startposisjon: 58,817N 9,722E
Sluttposisjon: 59,124N 8,620E
Retning: 298,9°
Fallvinkel: 21,3°
Inngangshastighet: 17,2 km/s
Radiantens rektascensjon: 10:41 (160,4°)
Radiantens deklinasjon: -5,1°
Meteorsverm: sporadisk
Meteoroidens baneelement:
Perihelavstand: 0,237 AU
Eksentrisitet: 0,619
Inklinasjon: 8,5°
Knutelengde: 52,6°
Perihelargument: 188,0°
Midlere anomali: 153,5°
Epoke: 2025 NOV 15 02:29:06
orbit plot

Ikke-interaktivt plott

position vs time
speed and acceleration

Gaustatoppen (GAU) cam3


gnomonic
Videoer
• Gnomonisk
• Gnomonisk med koordinater
• Original
• Original (HEVC)
• Original med koordinater
Bilder
• Gnomonisk
• Gnomonisk med koordinater
• Original
• Original med koordinater
Tekstfiler
• Deteksjon
• Observasjon
• Koordinater
• Logg
Lysstyrke

Gaustatoppen (GAU) cam4


gnomonic
Videoer
• Gnomonisk
• Gnomonisk med koordinater
• Original
• Original (HEVC)
• Original med koordinater
Bilder
• Gnomonisk
• Gnomonisk med koordinater
• Original
• Original med koordinater
Tekstfiler
• Deteksjon
• Observasjon
• Koordinater
• Logg
Lysstyrke

Hagar (HGR) cam5


gnomonic
Videoer
• Gnomonisk
• Gnomonisk med koordinater
• Original
• Original (HEVC)
• Original med koordinater
Bilder
• Gnomonisk
• Gnomonisk med koordinater
• Original
• Original med koordinater
Tekstfiler
• Deteksjon
• Observasjon
• Koordinater
• Logg
Lysstyrke