🇳🇴 🇬🇧 🇩🇪 🇨🇿 🇫🇮

Meteor, poloha: Bullerup 2025-11-15 03:14:42 UTC

Soubor KML  |  Interaktivní mapa

Mapa zobrazuje dráhy meteoru. Světlejší čáry ukazují směry od pozorovacích stanic při objevení se meteoru a tmavší čáry, kde byl naposledy viděn. Modrá šipka značí viditelnou dráhu meteoru.

static map
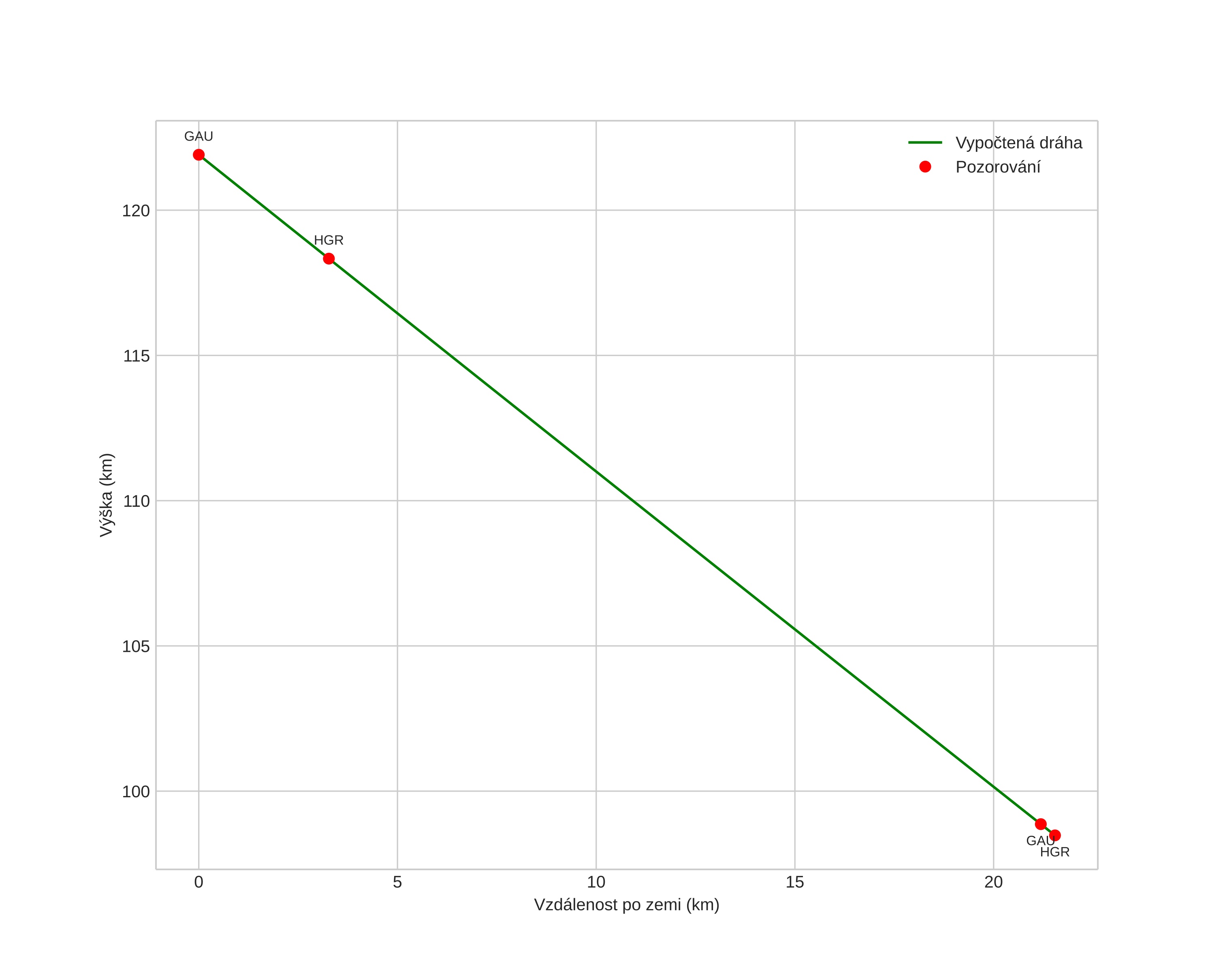
height profile
Atmosférická dráha meteoru:
Počáteční výška: 119,8 km
Konečná výška: 98,3 km
Počáteční poloha: 55,408N 10,779E
Konečná poloha: 55,458N 10,498E
Směr: 287,6°
Sklon: 49,2°
Vstupní rychlost: 0,0 km/s
position vs time
speed and acceleration