🇳🇴 🇬🇧 🇩🇪 🇨🇿 🇫🇮

Meteor Hemsedalin yllä 2025-11-15 03:31:50 UTC

KML-tiedosto  |  Interaktiivinen kartta

Kartta näyttää meteorin suuntahavainnot. Vaaleammat viivat näyttävät suunnat havaintoasemilta meteorin ilmestyessä, ja tummemmat viivat näyttävät, missä se viimeksi nähtiin. Sininen nuoli näyttää meteorin näkyvän lennon.

static map
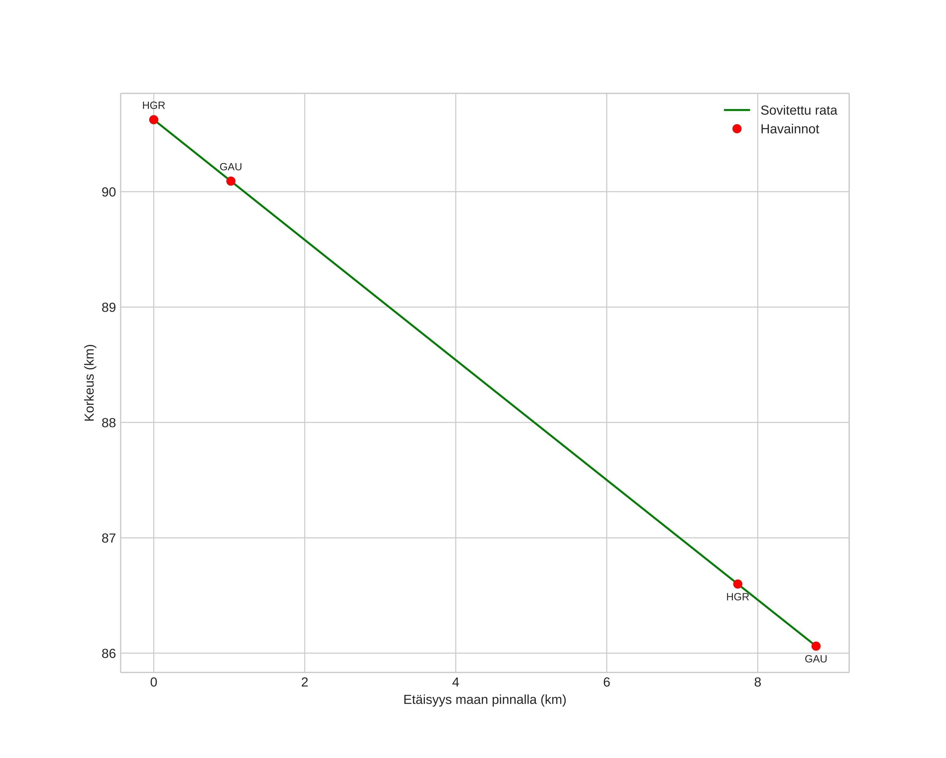
height profile
Meteorin ilmakehärata:
Alkukorkeus: 90,8 km
Loppukorkeus: 86,1 km
Alkupiste: 61,011N 8,417E
Loppupiste: 60,948N 8,309E
Suunta: 219,5°
Kallistuskulma: 27,2°
Tulonopeus: 30,6 km/s
Radiantin R,A,: 16:04 (241,2°)
Radiantin Dekl,: 45,2°
Meteoriparvi: Sporadinen
Meteoroidin rataelementit:
Perihelietäisyys: 0,882 AU
Eksentrisyys: 0,745
Inklinaatio: 42,9°
Nousevan solmun pituus: 232,7°
Perihelin argumentti: 138,3°
Keskianomalia: 4,4°
Epookki: 2025 NOV 15 03:31:50
orbit plot

Ei-interaktiivinen kuvaaja | Interaktiivinen kuvaaja

position vs time
speed and acceleration

Gaustatoppen (GAU) cam1


gnomonic
Videot:
• Gnomoninen
• Gnomoninen koordinaateilla
• Alkuperäinen
• Alkuperäinen koordinaateilla
Kuvat:
• Gnomoninen
• Gnomoninen koordinaateilla
• Alkuperäinen
• Alkuperäinen koordinaateilla
Tekstitiedostot:
• Havaintoraportti
• Observaatio
• Koordinaatit
• Loki
Kirkkaus

Hagar (HGR) cam1


gnomonic
Videot:
• Gnomoninen
• Gnomoninen koordinaateilla
• Alkuperäinen
• Alkuperäinen koordinaateilla
Kuvat:
• Gnomoninen
• Gnomoninen koordinaateilla
• Alkuperäinen
• Alkuperäinen koordinaateilla
Tekstitiedostot:
• Havaintoraportti
• Observaatio
• Koordinaatit
• Loki
Kirkkaus