🇳🇴 🇬🇧 🇩🇪 🇨🇿 🇫🇮

Meteor, poloha: Ølen 2025-11-15 04:56:40 UTC

Soubor KML  |  Interaktivní mapa

Mapa zobrazuje dráhy meteoru. Světlejší čáry ukazují směry od pozorovacích stanic při objevení se meteoru a tmavší čáry, kde byl naposledy viděn. Modrá šipka značí viditelnou dráhu meteoru.

static map
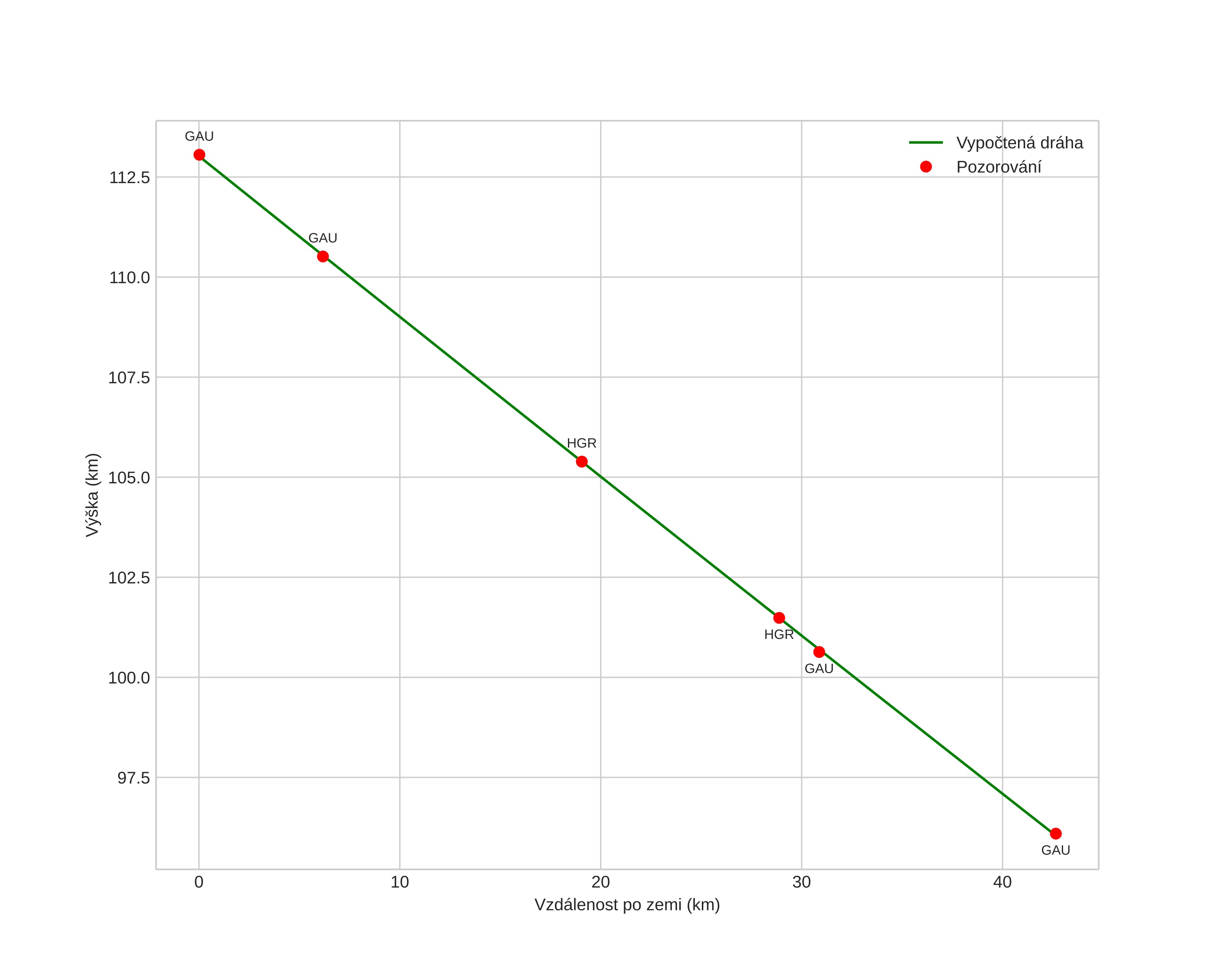
height profile
Atmosférická dráha meteoru:
Počáteční výška: 112,7 km
Konečná výška: 96,0 km
Počáteční poloha: 59,071N 5,903E
Konečná poloha: 59,446N 5,746E
Směr: 348,0°
Sklon: 21,4°
Vstupní rychlost: 64,4 km/s
Rektascenze radiantu: 09:41 (145,4°)
Deklinace radiantu: -9,4°
Meteorický roj: sporadický
Elementy dráhy meteoroidu:
Vzdálenost v periheliu: 0,928 AU
Excentricita: 0,607
Sklon dráhy: 139,9°
Délka vzestupného uzlu: 52,7°
Argument perihelia: 326,7°
Střední anomálie: 6,8°
Epocha: 2025 NOV 15 04:56:40
orbit plot

Neinteraktivní graf | Interaktivní graf

position vs time
speed and acceleration