🇳🇴 🇬🇧 🇩🇪 🇨🇿 🇫🇮

Meteor over Rollag 2025-11-15 22:32:56 UTC

KML-fil

Kartet viser peilingene for meteoren. De lysere linjene viser retningene fra observasjonsstedene for meteorens tilsynekomst, og de mørkere linjene viser hvor den sist kunne sees. Den blå pila viser meteorens synlige ferd.

static map
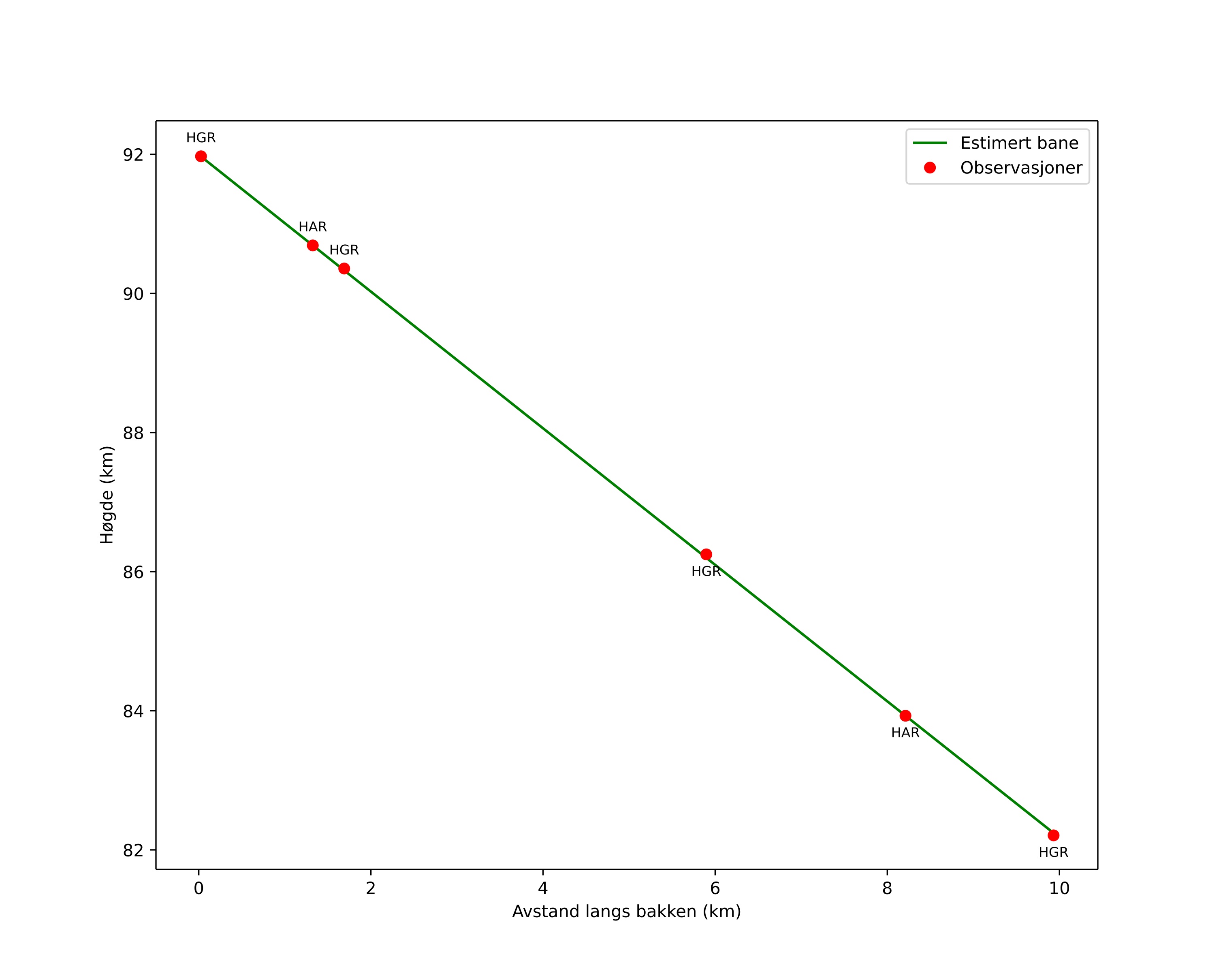
height profile
Meteorens atmosfæriske bane:
Starthøgde: 92,0 km
Slutthøgde: 82,2 km
Startposisjon: 59,992N 9,466E
Sluttposisjon: 60,071N 9,383E
Retning: 332,2°
Fallvinkel: 44,6°
Inngangshastighet: 27,2 km/s
Radiantens rektascensjon: 04:11 (62,9°)
Radiantens deklinasjon: 14,8°
Meteorsverm: Sørlige tauridene
Meteoroidens baneelement:
Perihelavstand: 0,422 AU
Eksentrisitet: 0,753
Inklinasjon: 5,9°
Knutelengde: 53,5°
Perihelargument: 109,6°
Midlere anomali: 339,7°
Epoke: 2025 NOV 15 22:32:56
orbit plot

Ikke-interaktivt plott

position vs time
speed and acceleration

Hagar (HGR) cam5


gnomonic
Videoer
• Gnomonisk
• Gnomonisk med koordinater
• Original
• Original (HEVC)
• Original med koordinater
Bilder
• Gnomonisk
• Gnomonisk med koordinater
• Original
• Original med koordinater
Tekstfiler
• Deteksjon
• Observasjon
• Koordinater
• Logg
Lysstyrke

Hagar (HGR) cam6


gnomonic
Videoer
• Gnomonisk
• Gnomonisk med koordinater
• Original
• Original (HEVC)
• Original med koordinater
Bilder
• Gnomonisk
• Gnomonisk med koordinater
• Original
• Original med koordinater
Tekstfiler
• Deteksjon
• Observasjon
• Koordinater
• Logg
Lysstyrke

Harestua (HAR) cam7


gnomonic
Videoer
• Gnomonisk
• Gnomonisk med koordinater
• Original
• Original (HEVC)
• Original med koordinater
Bilder
• Gnomonisk
• Gnomonisk med koordinater
• Original
• Original med koordinater
Tekstfiler
• Deteksjon
• Observasjon
• Koordinater
• Logg
Lysstyrke