🇳🇴 🇬🇧 🇩🇪 🇨🇿 🇫🇮

Meteor over Slottsbron 2025-11-15 23:15:17 UTC

KML-fil

Kartet viser peilingene for meteoren. De lysere linjene viser retningene fra observasjonsstedene for meteorens tilsynekomst, og de mørkere linjene viser hvor den sist kunne sees. Den blå pila viser meteorens synlige ferd.

static map
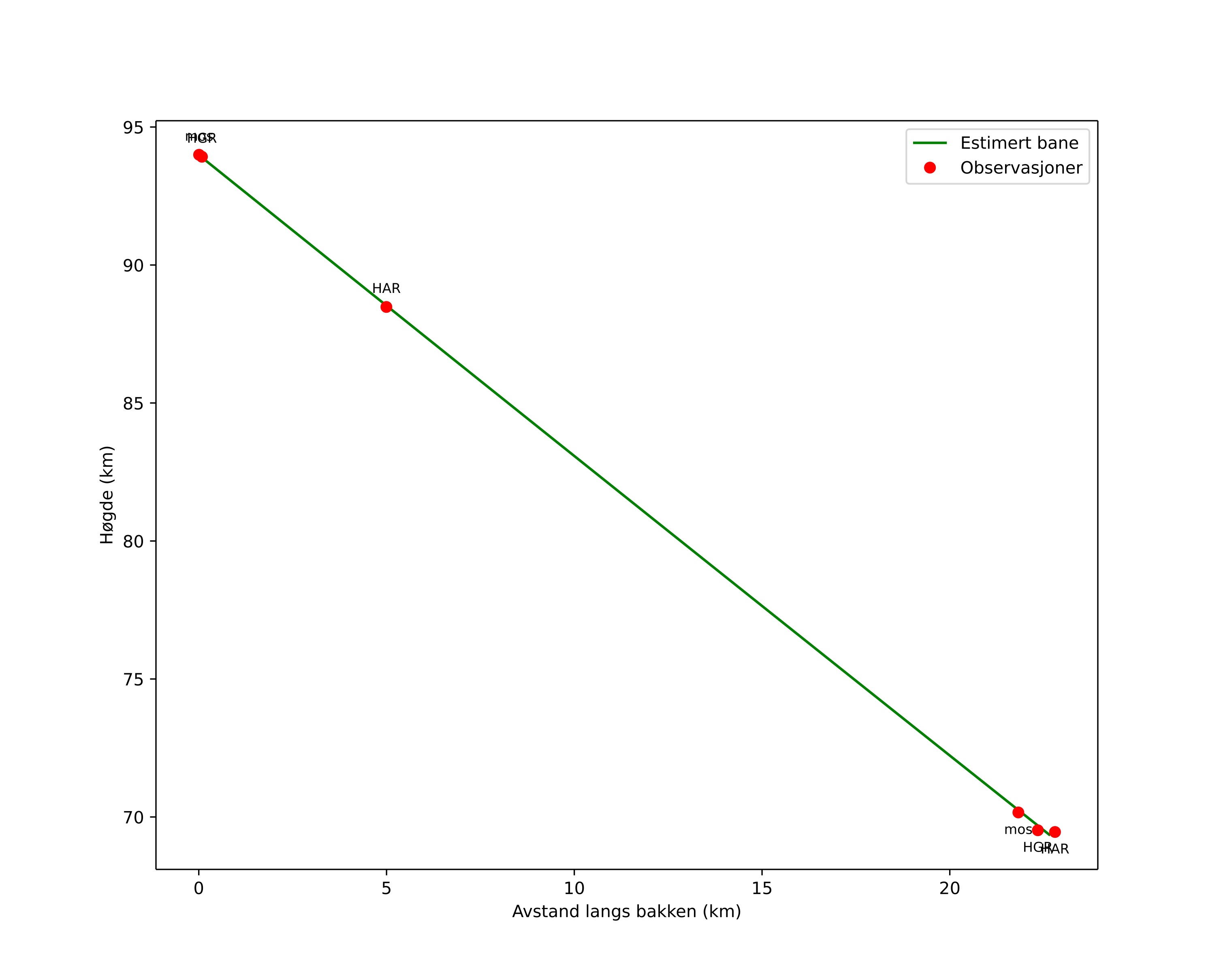
height profile
Meteorens atmosfæriske bane:
Starthøgde: 94,0 km
Slutthøgde: 69,3 km
Startposisjon: 59,062N 13,168E
Sluttposisjon: 59,265N 13,137E
Retning: 355,5°
Fallvinkel: 47,5°
Inngangshastighet: 27,5 km/s
Radiantens rektascensjon: 03:58 (59,5°)
Radiantens deklinasjon: 14,4°
Meteorsverm: Sørlige tauridene
Meteoroidens baneelement:
Perihelavstand: 0,458 AU
Eksentrisitet: 0,784
Inklinasjon: 5,5°
Knutelengde: 53,5°
Perihelargument: 102,8°
Midlere anomali: 345,8°
Epoke: 2025 NOV 15 23:15:17
orbit plot

Ikke-interaktivt plott

position vs time
speed and acceleration

Hagar (HGR) cam4


gnomonic
Videoer
• Gnomonisk
• Gnomonisk med koordinater
• Original
• Original (HEVC)
• Original med koordinater
Bilder
• Gnomonisk
• Gnomonisk med koordinater
• Original
• Original med koordinater
Tekstfiler
• Deteksjon
• Observasjon
• Koordinater
• Logg
Lysstyrke

Harestua (HAR) cam3


gnomonic
Videoer
• Gnomonisk
• Gnomonisk med koordinater
• Original
• Original (HEVC)
• Original med koordinater
Bilder
• Gnomonisk
• Gnomonisk med koordinater
• Original
• Original med koordinater
Tekstfiler
• Deteksjon
• Observasjon
• Koordinater
• Logg
Lysstyrke

Moss (mos) cam2


gnomonic
Videoer
• Gnomonisk
• Gnomonisk med koordinater
• Original
• Original (HEVC)
• Original med koordinater
Bilder
• Gnomonisk
• Gnomonisk med koordinater
• Original
• Original med koordinater
Tekstfiler
• Deteksjon
• Observasjon
• Koordinater
• Logg
Lysstyrke