🇳🇴 🇬🇧 🇩🇪 🇨🇿 🇫🇮

Meteor over Jaren 2025-11-15 23:42:26 UTC

KML-fil

Kartet viser peilingene for meteoren. De lysere linjene viser retningene fra observasjonsstedene for meteorens tilsynekomst, og de mørkere linjene viser hvor den sist kunne sees. Den blå pila viser meteorens synlige ferd.

static map
height profile
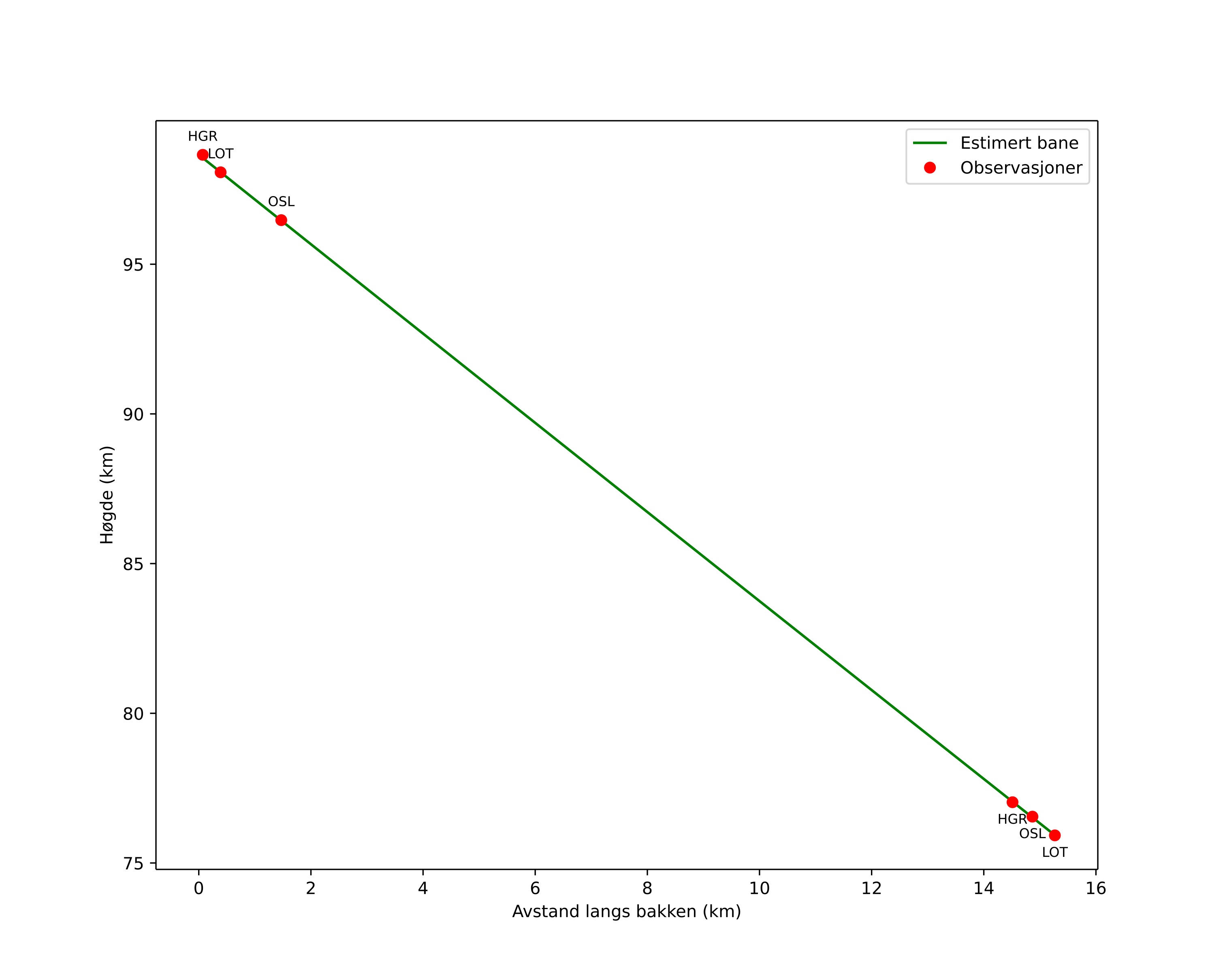
Meteorens atmosfæriske bane:
Starthøgde: 98,7 km
Slutthøgde: 75,9 km
Startposisjon: 60,400N 10,531E
Sluttposisjon: 60,538N 10,534E
Retning: 0,6°
Fallvinkel: 56,2°
Inngangshastighet: 29,9 km/s
Radiantens rektascensjon: 04:00 (60,1°)
Radiantens deklinasjon: 25,1°
Meteorsverm: Nordlige tauridene
Meteoroidens baneelement:
Perihelavstand: 0,394 AU
Eksentrisitet: 0,835
Inklinasjon: 4,8°
Knutelengde: 233,5°
Perihelargument: 288,8°
Midlere anomali: 348,7°
Epoke: 2025 NOV 15 23:42:26
orbit plot

Ikke-interaktivt plott

position vs time
speed and acceleration

Hagar (HGR) cam6


gnomonic
Videoer
• Gnomonisk
• Gnomonisk med koordinater
• Original
• Original (HEVC)
• Original med koordinater
Bilder
• Gnomonisk
• Gnomonisk med koordinater
• Original
• Original med koordinater
Tekstfiler
• Deteksjon
• Observasjon
• Koordinater
• Logg
Lysstyrke

Loten (LOT) cam7


gnomonic
Videoer
• Gnomonisk
• Gnomonisk med koordinater
• Original
• Original (HEVC)
• Original med koordinater
Bilder
• Gnomonisk
• Gnomonisk med koordinater
• Original
• Original med koordinater
Tekstfiler
• Deteksjon
• Observasjon
• Koordinater
• Logg
Lysstyrke

Voksenlia (OSL) cam7


gnomonic
Videoer
• Gnomonisk
• Gnomonisk med koordinater
• Original
• Original (HEVC)
• Original med koordinater
Bilder
• Gnomonisk
• Gnomonisk med koordinater
• Original
• Original med koordinater
Tekstfiler
• Deteksjon
• Observasjon
• Koordinater
• Logg
Lysstyrke