🇳🇴 🇬🇧 🇩🇪 🇨🇿 🇫🇮

Meteor over Engerdal 2025-11-16 00:13:49 UTC

KML-fil  |  Interaktivt kart

Kartet viser peilingene for meteoren. De lysere linjene viser retningene fra observasjonsstedene for meteorens tilsynekomst, og de mørkere linjene viser hvor den sist kunne sees. Den blå pila viser meteorens synlige ferd.

static map
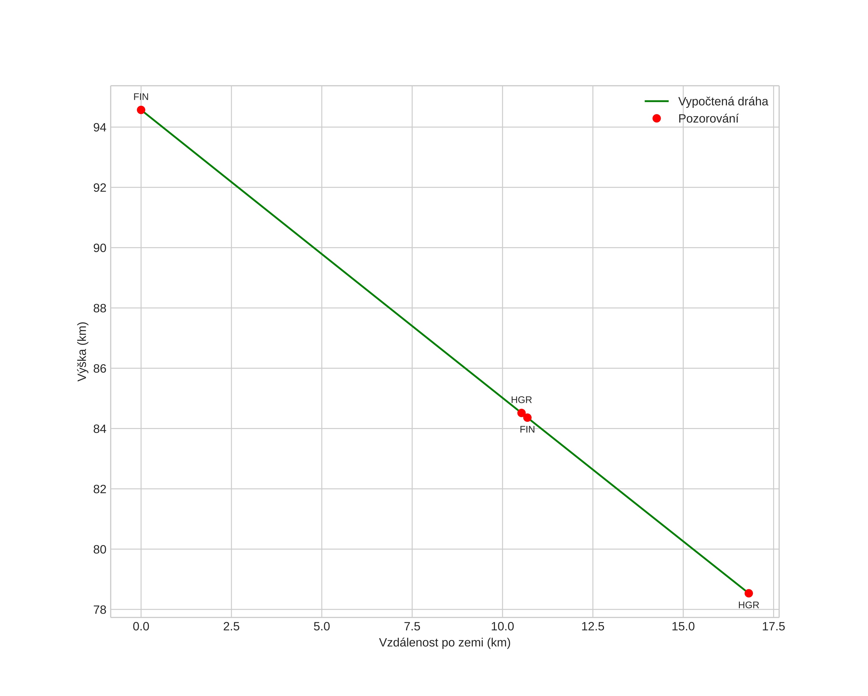
height profile
Meteorens atmosfæriske bane:
Starthøgde: 95,7 km
Slutthøgde: 78,2 km
Startposisjon: 61,579N 11,952E
Sluttposisjon: 61,736N 12,046E
Retning: 15,8°
Fallvinkel: 43,9°
Inngangshastighet: 27,2 km/s
Radiantens rektascensjon: 03:50 (57,7°)
Radiantens deklinasjon: 13,9°
Meteorsverm: Sørlige tauridene
Meteoroidens baneelement:
Perihelavstand: 0,484 AU
Eksentrisitet: 0,793
Inklinasjon: 5,4°
Knutelengde: 53,6°
Perihelargument: 98,8°
Midlere anomali: 347,9°
Epoke: 2025 NOV 16 00:13:49
orbit plot

Ikke-interaktivt plott | Interaktivt plott

position vs time
speed and acceleration

Finnskogen (FIN) cam6


gnomonic
Videoer
• Gnomonisk
• Gnomonisk med koordinater
• Original
• Original med koordinater
Bilder
• Gnomonisk
• Gnomonisk med koordinater
• Original
• Original med koordinater
Tekstfiler
• Deteksjon
• Observasjon
• Koordinater
• Logg
Lysstyrke

Hagar (HGR) cam2


gnomonic
Videoer
• Gnomonisk
• Gnomonisk med koordinater
• Original
• Original med koordinater
Bilder
• Gnomonisk
• Gnomonisk med koordinater
• Original
• Original med koordinater
Tekstfiler
• Deteksjon
• Observasjon
• Koordinater
• Logg
Lysstyrke