🇳🇴 🇬🇧 🇩🇪 🇨🇿 🇫🇮

Meteor Engerdalin yllä 2025-11-16 00:13:49 UTC

KML-tiedosto  |  Interaktiivinen kartta

Kartta näyttää meteorin suuntahavainnot. Vaaleammat viivat näyttävät suunnat havaintoasemilta meteorin ilmestyessä, ja tummemmat viivat näyttävät, missä se viimeksi nähtiin. Sininen nuoli näyttää meteorin näkyvän lennon.

static map
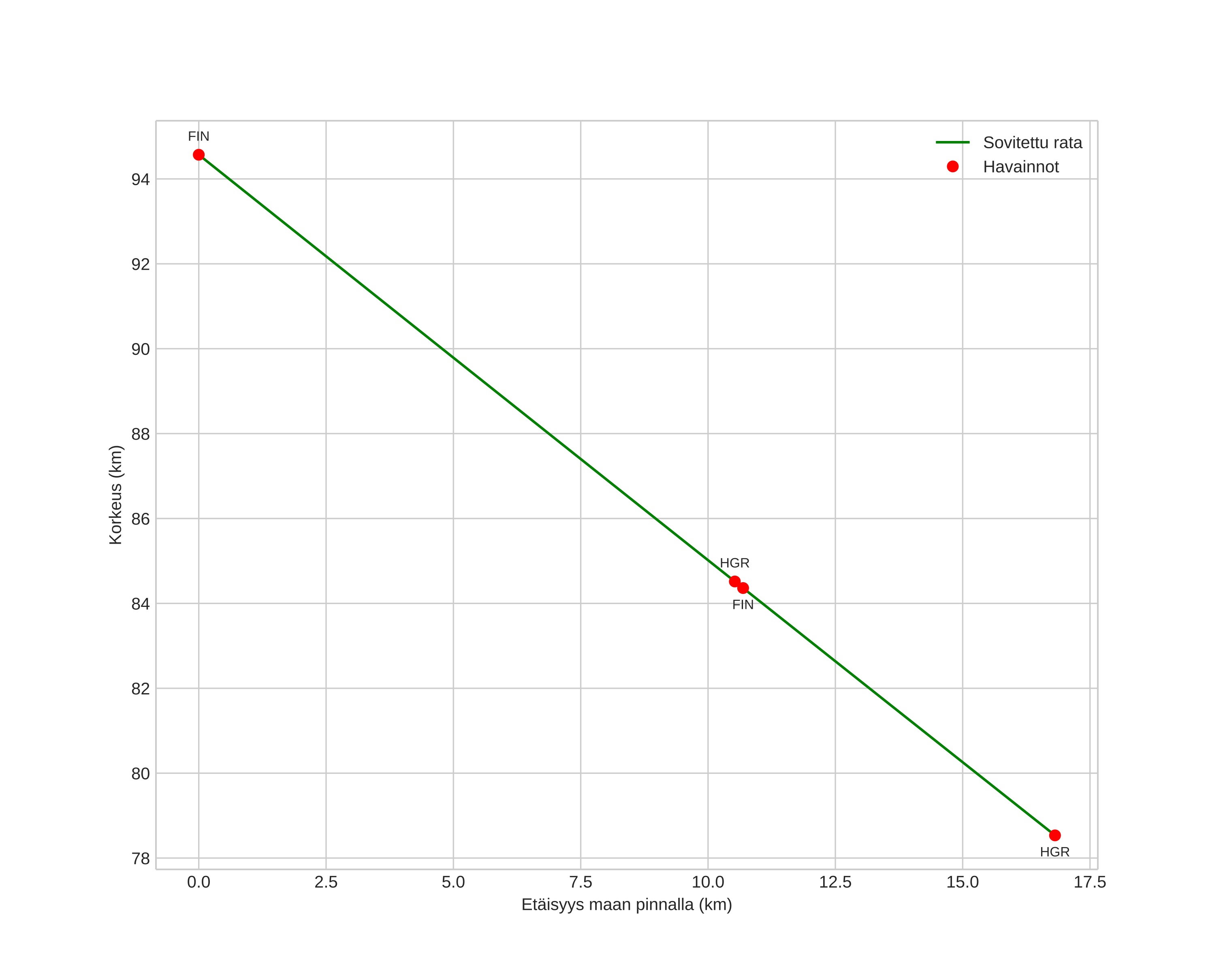
height profile
Meteorin ilmakehärata:
Alkukorkeus: 95,7 km
Loppukorkeus: 78,2 km
Alkupiste: 61,579N 11,952E
Loppupiste: 61,736N 12,046E
Suunta: 15,8°
Kallistuskulma: 43,9°
Tulonopeus: 27,2 km/s
Radiantin R,A,: 03:50 (57,7°)
Radiantin Dekl,: 13,9°
Meteoriparvi: Eteläiset tauridit
Meteoroidin rataelementit:
Perihelietäisyys: 0,484 AU
Eksentrisyys: 0,793
Inklinaatio: 5,4°
Nousevan solmun pituus: 53,6°
Perihelin argumentti: 98,8°
Keskianomalia: 347,9°
Epookki: 2025 NOV 16 00:13:49
orbit plot

Ei-interaktiivinen kuvaaja | Interaktiivinen kuvaaja

position vs time
speed and acceleration

Finnskogen (FIN) cam6


gnomonic
Videot:
• Gnomoninen
• Gnomoninen koordinaateilla
• Alkuperäinen
• Alkuperäinen koordinaateilla
Kuvat:
• Gnomoninen
• Gnomoninen koordinaateilla
• Alkuperäinen
• Alkuperäinen koordinaateilla
Tekstitiedostot:
• Havaintoraportti
• Observaatio
• Koordinaatit
• Loki
Kirkkaus

Hagar (HGR) cam2


gnomonic
Videot:
• Gnomoninen
• Gnomoninen koordinaateilla
• Alkuperäinen
• Alkuperäinen koordinaateilla
Kuvat:
• Gnomoninen
• Gnomoninen koordinaateilla
• Alkuperäinen
• Alkuperäinen koordinaateilla
Tekstitiedostot:
• Havaintoraportti
• Observaatio
• Koordinaatit
• Loki
Kirkkaus