🇳🇴 🇬🇧 🇩🇪 🇨🇿 🇫🇮

Meteor Vinstran yllä 2025-11-16 01:23:34 UTC

KML-tiedosto  |  Interaktiivinen kartta

Kartta näyttää meteorin suuntahavainnot. Vaaleammat viivat näyttävät suunnat havaintoasemilta meteorin ilmestyessä, ja tummemmat viivat näyttävät, missä se viimeksi nähtiin. Sininen nuoli näyttää meteorin näkyvän lennon.

static map
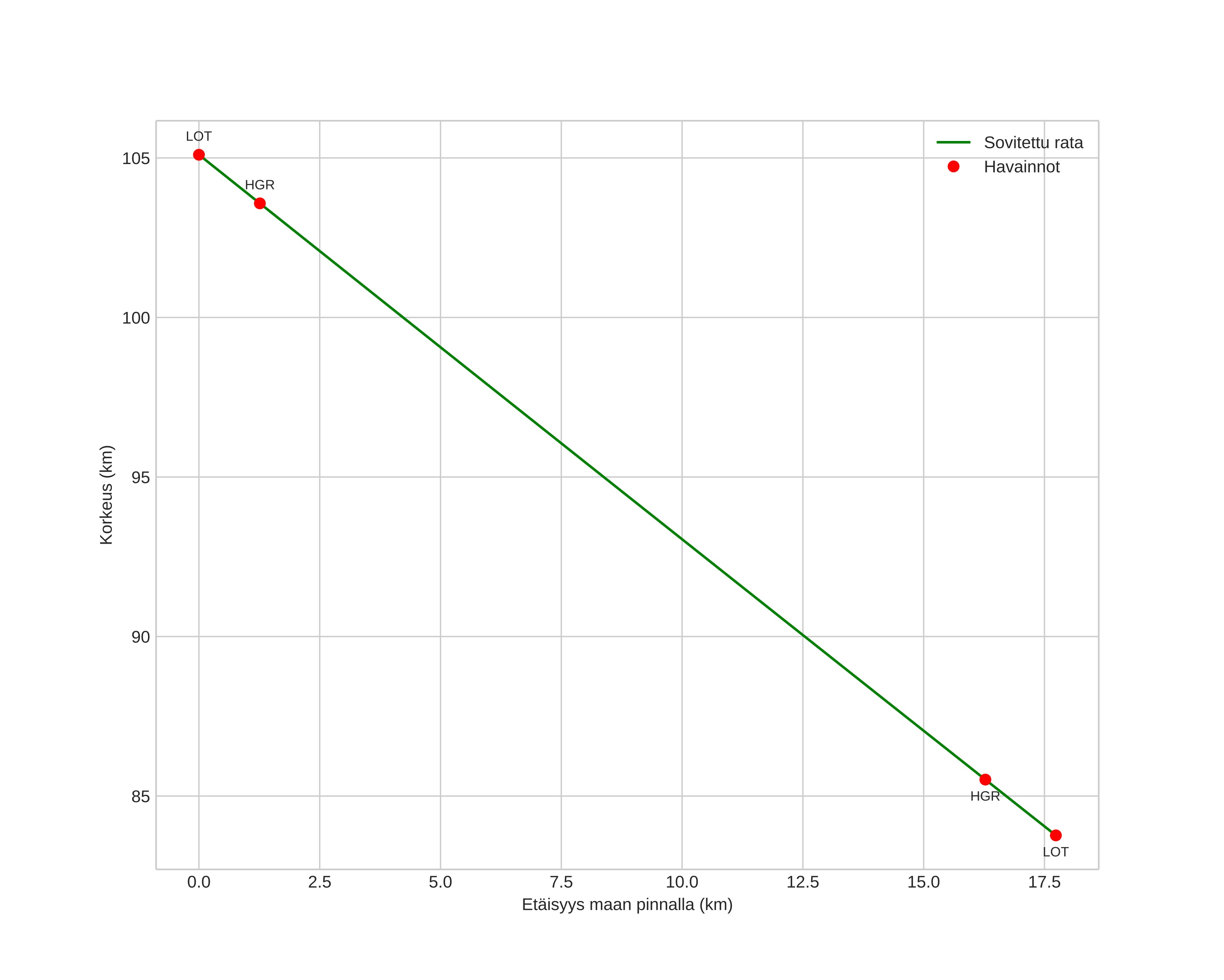
height profile
Meteorin ilmakehärata:
Alkukorkeus: 103,5 km
Loppukorkeus: 90,4 km
Alkupiste: 61,908N 10,010E
Loppupiste: 61,848N 9,841E
Suunta: 232,8°
Kallistuskulma: 49,6°
Tulonopeus: 50,7 km/s
Radiantin R,A,: 11:39 (174,9°)
Radiantin Dekl,: 58,9°
Meteoriparvi: Sporadinen
Meteoroidin rataelementit:
Perihelietäisyys: 0,989 AU
Eksentrisyys: 0,603
Inklinaatio: 92,3°
Nousevan solmun pituus: 233,6°
Perihelin argumentti: 182,0°
Keskianomalia: 359,6°
Epookki: 2025 NOV 16 01:23:34
orbit plot

Ei-interaktiivinen kuvaaja | Interaktiivinen kuvaaja

position vs time
speed and acceleration

Hagar (HGR) cam2


gnomonic
Videot:
• Gnomoninen
• Gnomoninen koordinaateilla
• Alkuperäinen
• Alkuperäinen koordinaateilla
Kuvat:
• Gnomoninen
• Gnomoninen koordinaateilla
• Alkuperäinen
• Alkuperäinen koordinaateilla
Tekstitiedostot:
• Havaintoraportti
• Observaatio
• Koordinaatit
• Loki
Kirkkaus

Loten (LOT) cam1


gnomonic
Videot:
• Gnomoninen
• Gnomoninen koordinaateilla
• Alkuperäinen
• Alkuperäinen koordinaateilla
Kuvat:
• Gnomoninen
• Gnomoninen koordinaateilla
• Alkuperäinen
• Alkuperäinen koordinaateilla
Tekstitiedostot:
• Havaintoraportti
• Observaatio
• Koordinaatit
• Loki
Kirkkaus