🇳🇴 🇬🇧 🇩🇪 🇨🇿 🇫🇮

Meteor over Meieribyen 2025-11-16 02:05:53 UTC

KML-fil

Kartet viser peilingene for meteoren. De lysere linjene viser retningene fra observasjonsstedene for meteorens tilsynekomst, og de mørkere linjene viser hvor den sist kunne sees. Den blå pila viser meteorens synlige ferd.

static map
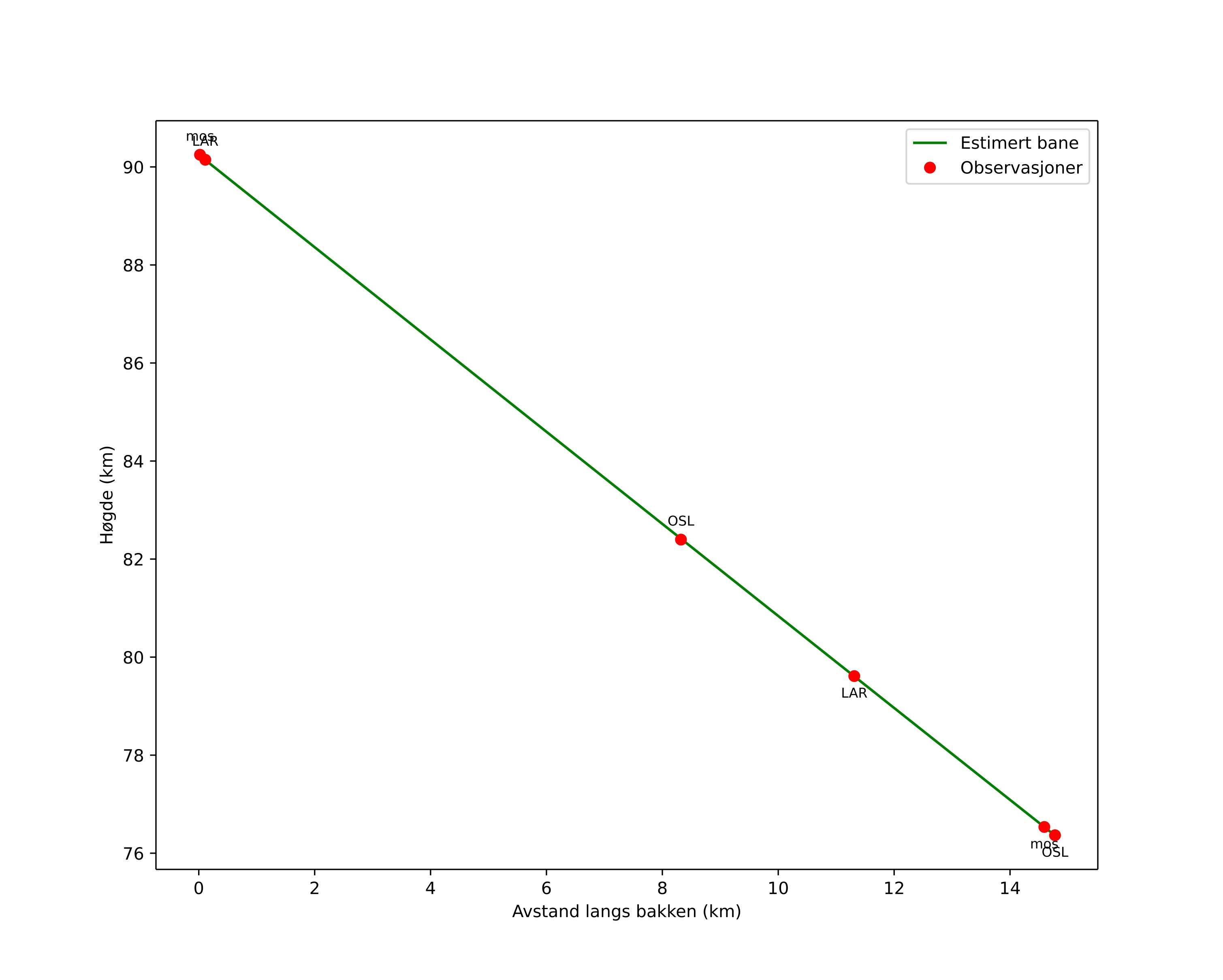
height profile
Meteorens atmosfæriske bane:
Starthøgde: 90,2 km
Slutthøgde: 76,4 km
Startposisjon: 59,402N 10,788E
Sluttposisjon: 59,426N 11,045E
Retning: 79,4°
Fallvinkel: 43,1°
Inngangshastighet: 18,6 km/s
Radiantens rektascensjon: 02:24 (36,1°)
Radiantens deklinasjon: 26,3°
Meteorsverm: sporadisk
Meteoroidens baneelement:
Perihelavstand: 0,759 AU
Eksentrisitet: 0,595
Inklinasjon: 5,2°
Knutelengde: 233,6°
Perihelargument: 247,9°
Midlere anomali: 343,2°
Epoke: 2025 NOV 16 02:05:53
orbit plot

Ikke-interaktivt plott

position vs time
speed and acceleration

Larvik (LAR) cam6


gnomonic
Videoer
• Gnomonisk
• Gnomonisk med koordinater
• Original
• Original (HEVC)
• Original med koordinater
Bilder
• Gnomonisk
• Gnomonisk med koordinater
• Original
• Original med koordinater
Tekstfiler
• Deteksjon
• Observasjon
• Koordinater
• Logg
Lysstyrke

Moss (mos) cam7


gnomonic
Videoer
• Gnomonisk
• Gnomonisk med koordinater
• Original
• Original (HEVC)
• Original med koordinater
Bilder
• Gnomonisk
• Gnomonisk med koordinater
• Original
• Original med koordinater
Tekstfiler
• Deteksjon
• Observasjon
• Koordinater
• Logg
Lysstyrke

Voksenlia (OSL) cam6


gnomonic
Videoer
• Gnomonisk
• Gnomonisk med koordinater
• Original
• Original (HEVC)
• Original med koordinater
Bilder
• Gnomonisk
• Gnomonisk med koordinater
• Original
• Original med koordinater
Tekstfiler
• Deteksjon
• Observasjon
• Koordinater
• Logg
Lysstyrke