🇳🇴 🇬🇧 🇩🇪 🇨🇿 🇫🇮

Meteor over Siljan 2025-11-16 02:10:26 UTC

KML-fil

Kartet viser peilingene for meteoren. De lysere linjene viser retningene fra observasjonsstedene for meteorens tilsynekomst, og de mørkere linjene viser hvor den sist kunne sees. Den blå pila viser meteorens synlige ferd.

static map
height profile
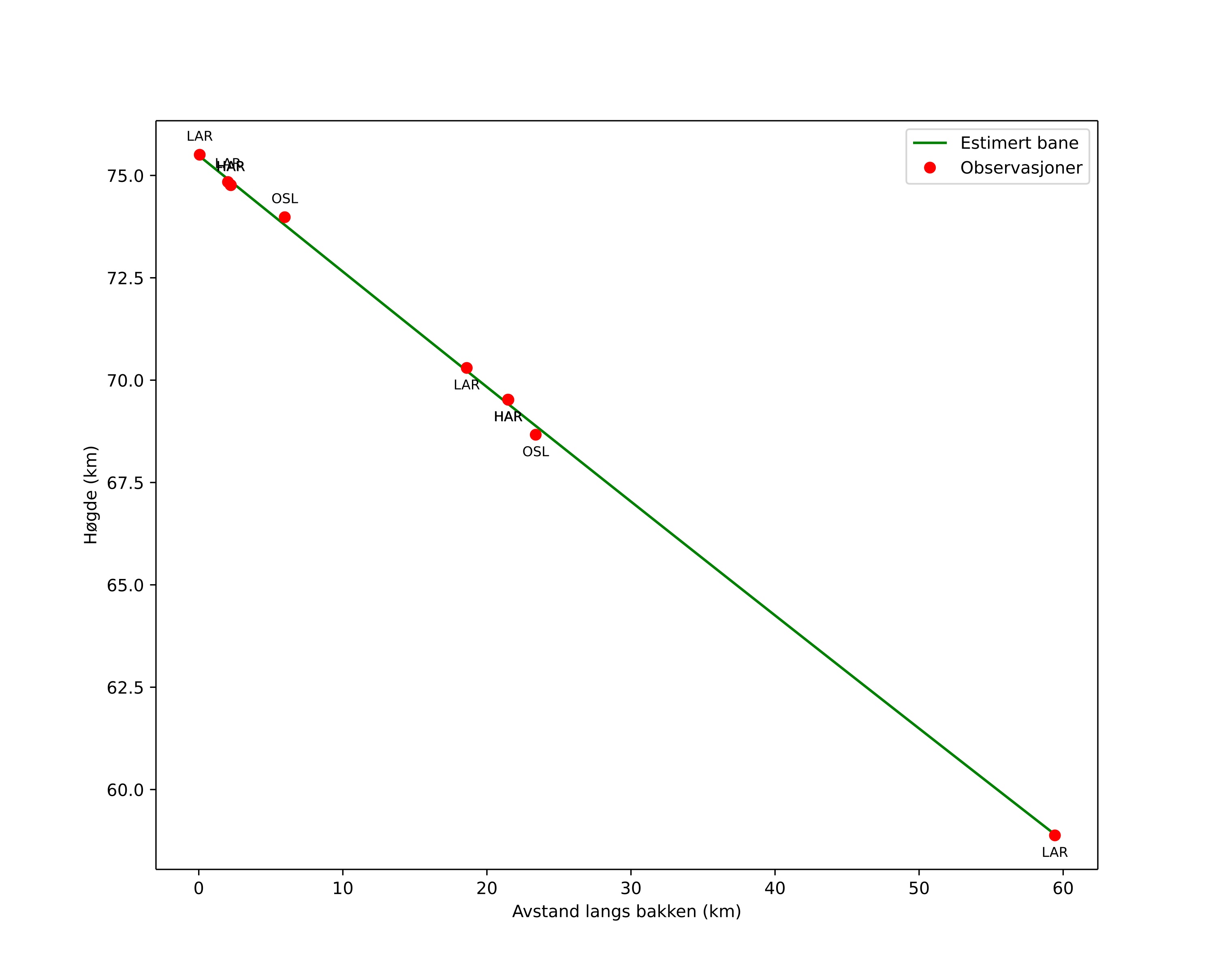
Meteorens atmosfæriske bane:
Starthøgde: 75,5 km
Slutthøgde: 58,9 km
Startposisjon: 59,588N 8,775E
Sluttposisjon: 59,345N 9,712E
Retning: 116,7°
Fallvinkel: 15,6°
Inngangshastighet: 13,3 km/s
Radiantens rektascensjon: 22:37 (339,4°)
Radiantens deklinasjon: 5,3°
Meteorsverm: sporadisk
Meteoroidens baneelement:
Perihelavstand: 0,981 AU
Eksentrisitet: 0,554
Inklinasjon: 2,6°
Knutelengde: 233,6°
Perihelargument: 192,4°
Midlere anomali: 357,0°
Epoke: 2025 NOV 16 02:10:26
orbit plot

Ikke-interaktivt plott

position vs time
speed and acceleration

Harestua (HAR) cam7


gnomonic
Videoer
• Gnomonisk
• Gnomonisk med koordinater
• Original
• Original (HEVC)
• Original med koordinater
Bilder
• Gnomonisk
• Gnomonisk med koordinater
• Original
• Original med koordinater
Tekstfiler
• Deteksjon
• Observasjon
• Koordinater
• Logg
Lysstyrke

Larvik (LAR) cam5


gnomonic
Videoer
• Gnomonisk
• Gnomonisk med koordinater
• Original
• Original (HEVC)
• Original med koordinater
Bilder
• Gnomonisk
• Gnomonisk med koordinater
• Original
• Original med koordinater
Tekstfiler
• Deteksjon
• Observasjon
• Koordinater
• Logg
Lysstyrke

Larvik (LAR) cam6


gnomonic
Videoer
• Gnomonisk
• Gnomonisk med koordinater
• Original
• Original (HEVC)
• Original med koordinater
Bilder
• Gnomonisk
• Gnomonisk med koordinater
• Original
• Original med koordinater
Tekstfiler
• Deteksjon
• Observasjon
• Koordinater
• Logg
Lysstyrke

Voksenlia (OSL) cam7


gnomonic
Videoer
• Gnomonisk
• Gnomonisk med koordinater
• Original
• Original (HEVC)
• Original med koordinater
Bilder
• Gnomonisk
• Gnomonisk med koordinater
• Original
• Original med koordinater
Tekstfiler
• Deteksjon
• Observasjon
• Koordinater
• Logg
Lysstyrke