🇳🇴 🇬🇧 🇩🇪 🇨🇿 🇫🇮

Meteor, poloha: Jevnaker 2025-11-16 02:28:43 UTC

Soubor KML  |  Interaktivní mapa

Mapa zobrazuje dráhy meteoru. Světlejší čáry ukazují směry od pozorovacích stanic při objevení se meteoru a tmavší čáry, kde byl naposledy viděn. Modrá šipka značí viditelnou dráhu meteoru.

static map
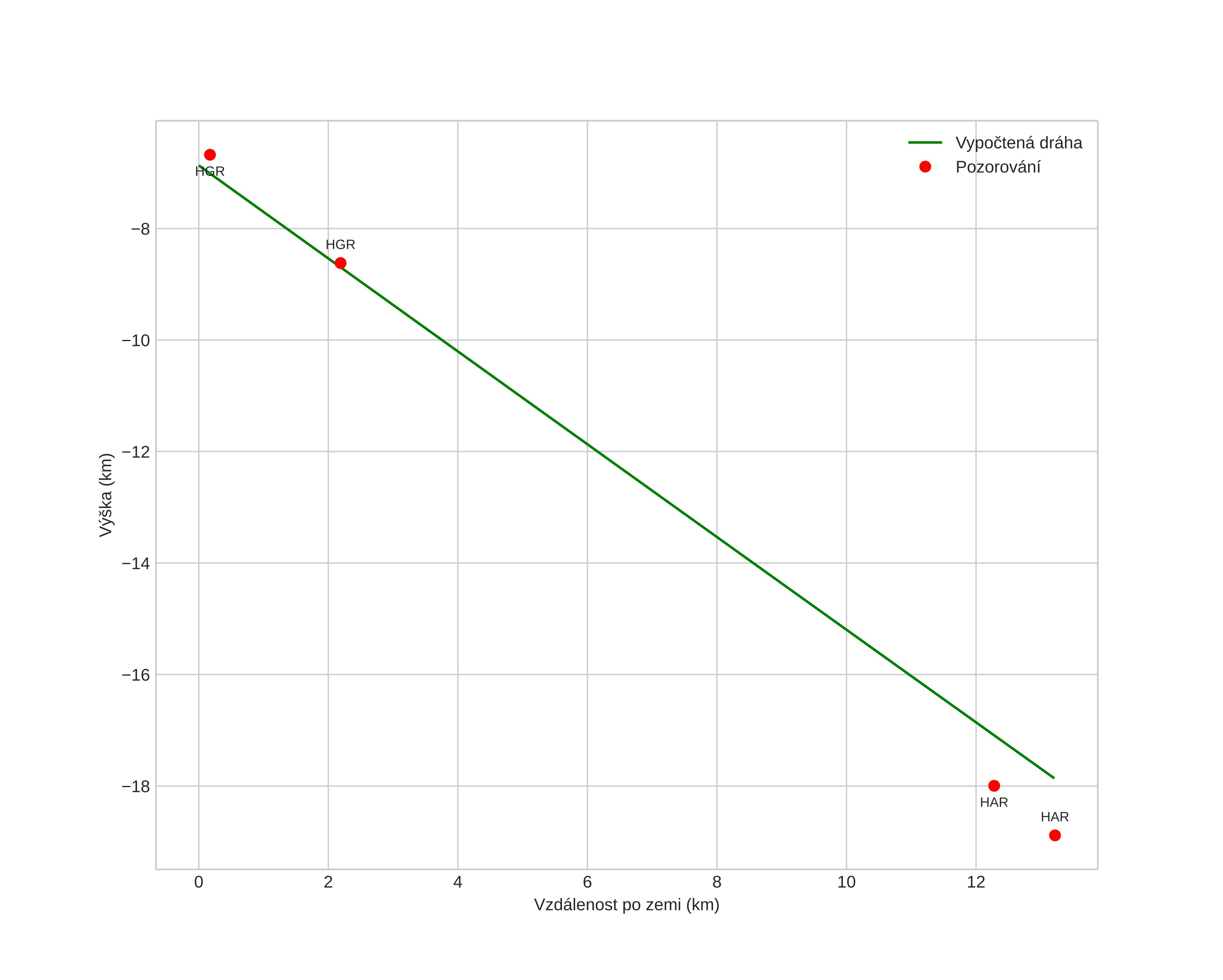
height profile
Atmosférická dráha meteoru:
Počáteční výška: -6,9 km
Konečná výška: -17,9 km
Počáteční poloha: 60,410N 10,371E
Konečná poloha: 60,299N 10,457E
Směr: 158,8°
Sklon: 39,9°
position vs time
speed and acceleration