🇳🇴 🇬🇧 🇩🇪 🇨🇿 🇫🇮

Meteor, poloha: Lampeland 2025-11-16 03:00:55 UTC

Soubor KML  |  Interaktivní mapa

Mapa zobrazuje dráhy meteoru. Světlejší čáry ukazují směry od pozorovacích stanic při objevení se meteoru a tmavší čáry, kde byl naposledy viděn. Modrá šipka značí viditelnou dráhu meteoru.

static map
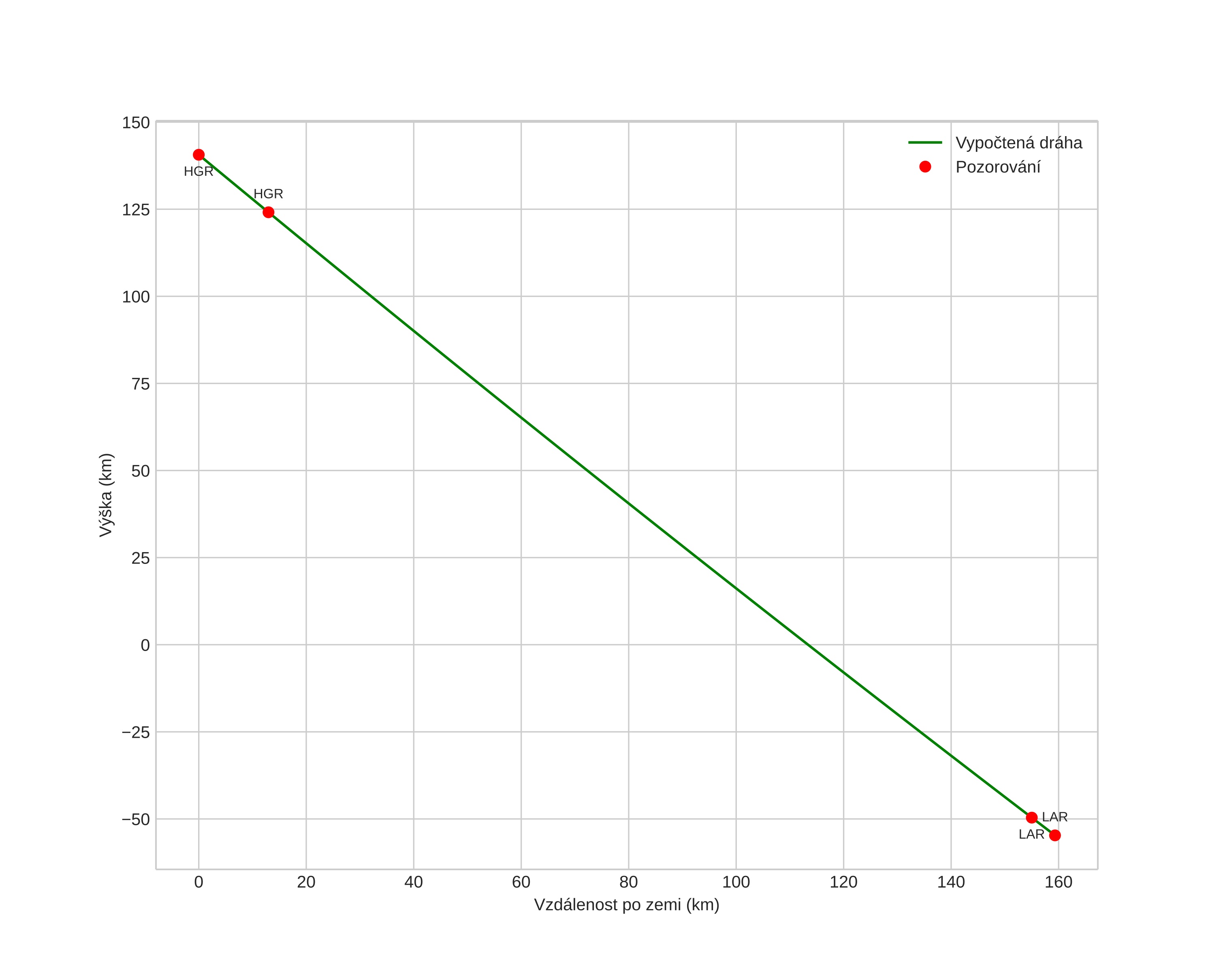
height profile
Atmosférická dráha meteoru:
Počáteční výška: 150,5 km
Konečná výška: -54,8 km
Počáteční poloha: 61,241N 10,528E
Konečná poloha: 59,843N 9,562E
Směr: 199,2°
Sklon: 51,3°
position vs time
speed and acceleration