🇳🇴 🇬🇧 🇩🇪 🇨🇿 🇫🇮

Meteor over Örsundsbro 2025-11-16 03:38:53 UTC

KML file

The map shows the bearings for the meteor. The lighter lines show the directions from the observation sites at the meteor's appearance, and the darker lines show where it was last seen. The blue arrow indicates the visible path of the meteor.

static map
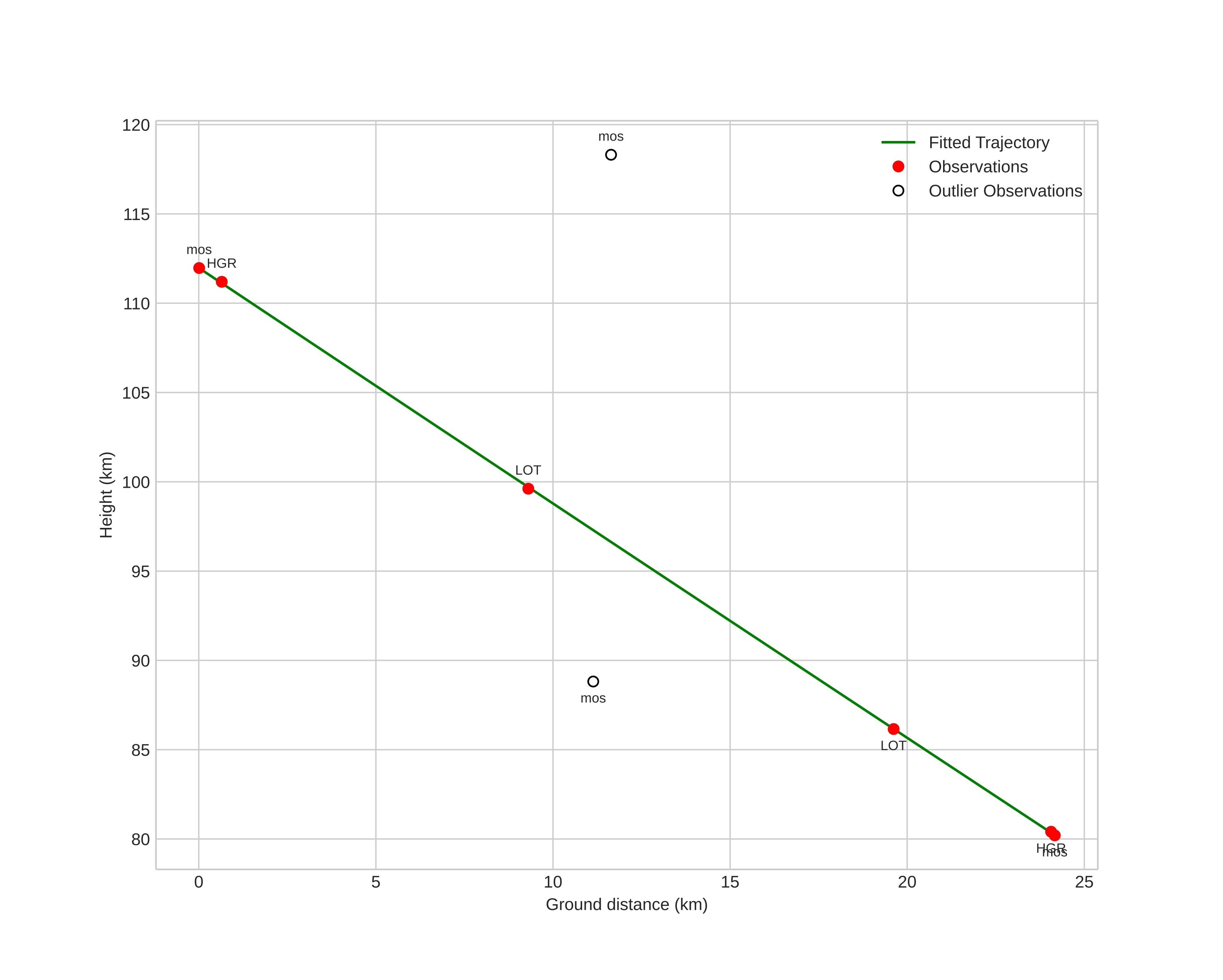
height profile
Meteor's Atmospheric Trajectory:
Start height: 112.0 km
End height: 80.2 km
Start position: 59.640N 17.581E
End position: 59.794N 17.274E
Direction: 314.9°
Inclination angle: 52.8°
Entry speed: 74.6 km/s
Radiant R.A.: 10:25 (156.3°)
Radiant Dec.: 28.0°
Meteor Shower: Leonids
Meteoroid's Orbital Elements:
Perihelion distance: 0.981 AU
Eccentricity: 1.327
Inclination: 152.1°
Long. of Asc. Node: 233.7°
Argument of Perihelion: 170.2°
Mean Anomaly: 1.2°
Epoch: 2025 NOV 16 03:38:53
orbit plot

Non-interactive plot

position vs time
speed and acceleration

Hagar (HGR) cam4


gnomonic
Videos
• Gnomonic
• Gnomonic with coordinates
• Original
• Original (HEVC)
• Original with coordinates
Images
• Gnomonic
• Gnomonic with coordinates
• Original
• Original with coordinates
Text Files
• Detection
• Observation
• Coordinates
• Log
Brightness

Loten (LOT) cam3


gnomonic
Videos
• Gnomonic
• Gnomonic with coordinates
• Original
• Original (HEVC)
• Original with coordinates
Images
• Gnomonic
• Gnomonic with coordinates
• Original
• Original with coordinates
Text Files
• Detection
• Observation
• Coordinates
• Log
Brightness

Moss (mos) cam2


gnomonic
Videos
• Gnomonic
• Gnomonic with coordinates
• Original
• Original (HEVC)
• Original with coordinates
Images
• Gnomonic
• Gnomonic with coordinates
• Original
• Original with coordinates
Text Files
• Detection
• Observation
• Coordinates
• Log
Brightness

Moss (mos) cam3


gnomonic
Videos
• Gnomonic
• Gnomonic with coordinates
• Original
• Original (HEVC)
• Original with coordinates
Images
• Gnomonic
• Gnomonic with coordinates
• Original
• Original with coordinates
Text Files
• Detection
• Observation
• Coordinates
• Log
Brightness