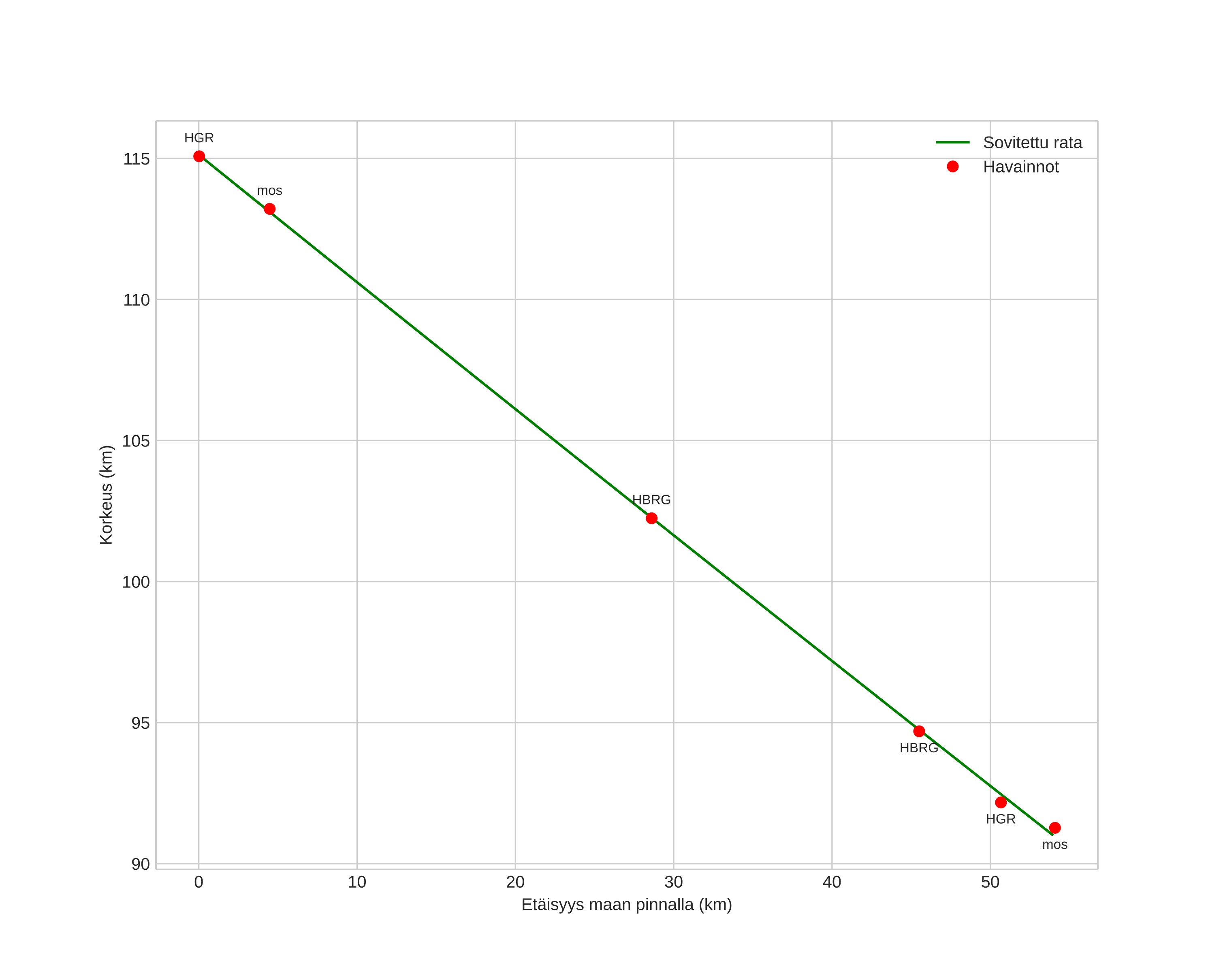
Atmosférická dráha meteoru:
| Počátečnà výška: | 115,6 km |
| Konečná výška: | 91,8 km |
| Počátečnà poloha: | 60,777N 16,690E |
| Konečná poloha: | 61,220N 16,344E |
| Směr: | 339,4° |
| Sklon: | 24,3° |
| VstupnĂ rychlost: | 69,1 km/s |
| Rektascenze radiantu: | 10:02 (150,6°) |
| Deklinace radiantu: | -3,7° |
| MeteorickĂ˝ roj: | sporadickĂ˝ |
|
Elementy dráhy meteoroidu:
| Vzdálenost v periheliu: | 0,902 AU |
| Excentricita: | 0,837 |
| Sklon dráhy: | 153,5° |
| Délka vzestupného uzlu: | 53,7° |
| Argument perihelia: | 323,8° |
| Střednà anomálie: | 1,9° |
| Epocha: | 2025 NOV 16 04:01:05 |
|