🇳🇴 🇬🇧 🇩🇪 🇨🇿 🇫🇮

Meteor over Bollnäs 2025-11-16 04:01:05 UTC

KML file  |  Interactive map

The map shows the bearings for the meteor. The lighter lines show the directions from the observation sites at the meteor's appearance, and the darker lines show where it was last seen. The blue arrow indicates the visible path of the meteor.

static map
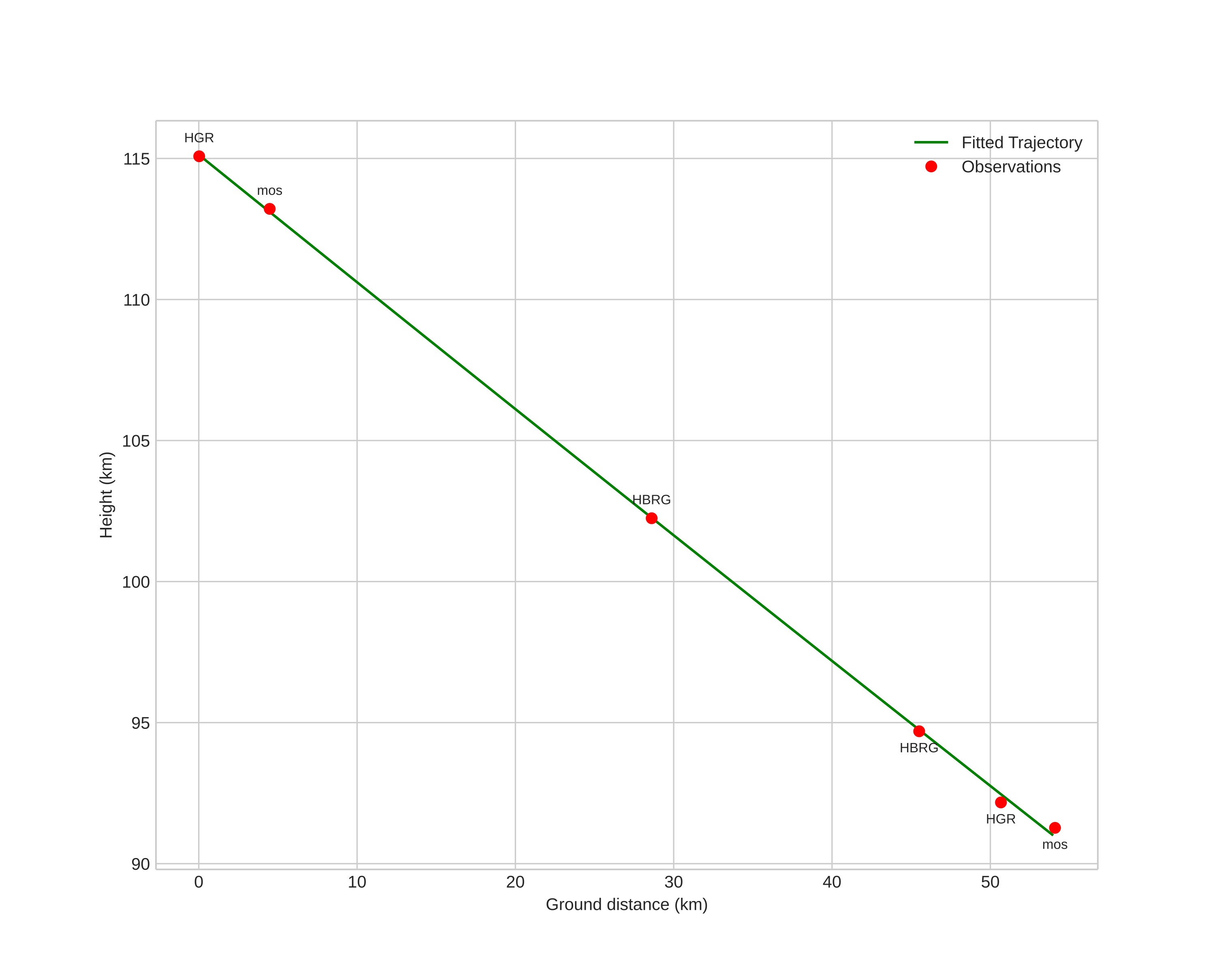
height profile
Meteor's Atmospheric Trajectory:
Start height: 115.6 km
End height: 91.8 km
Start position: 60.777N 16.690E
End position: 61.220N 16.344E
Direction: 339.4°
Inclination angle: 24.3°
Entry speed: 69.1 km/s
Radiant R.A.: 10:02 (150.6°)
Radiant Dec.: -3.7°
Meteor Shower: sporadic
Meteoroid's Orbital Elements:
Perihelion distance: 0.902 AU
Eccentricity: 0.837
Inclination: 153.5°
Long. of Asc. Node: 53.7°
Argument of Perihelion: 323.8°
Mean Anomaly: 1.9°
Epoch: 2025 NOV 16 04:01:05
orbit plot

Non-interactive plot | Interactive plot

position vs time
speed and acceleration

Hagar (HGR) cam3


gnomonic
Videos
• Gnomonic
• Gnomonic with coordinates
• Original
• Original with coordinates
Images
• Gnomonic
• Gnomonic with coordinates
• Original
• Original with coordinates
Text Files
• Detection
• Observation
• Coordinates
• Log
Brightness

Moss (mos) cam2


gnomonic
Videos
• Gnomonic
• Gnomonic with coordinates
• Original
• Original with coordinates
Images
• Gnomonic
• Gnomonic with coordinates
• Original
• Original with coordinates
Text Files
• Detection
• Observation
• Coordinates
• Log
Brightness